最新更新 :
18/03/2026
抗真菌薬   Amphotericin B  
エアロゾル
含嗽薬 注射薬 点眼薬 経口液
調剤時の安定性 混合時の安定性 安定性に影響する因子 互換性 引用文献 PDF
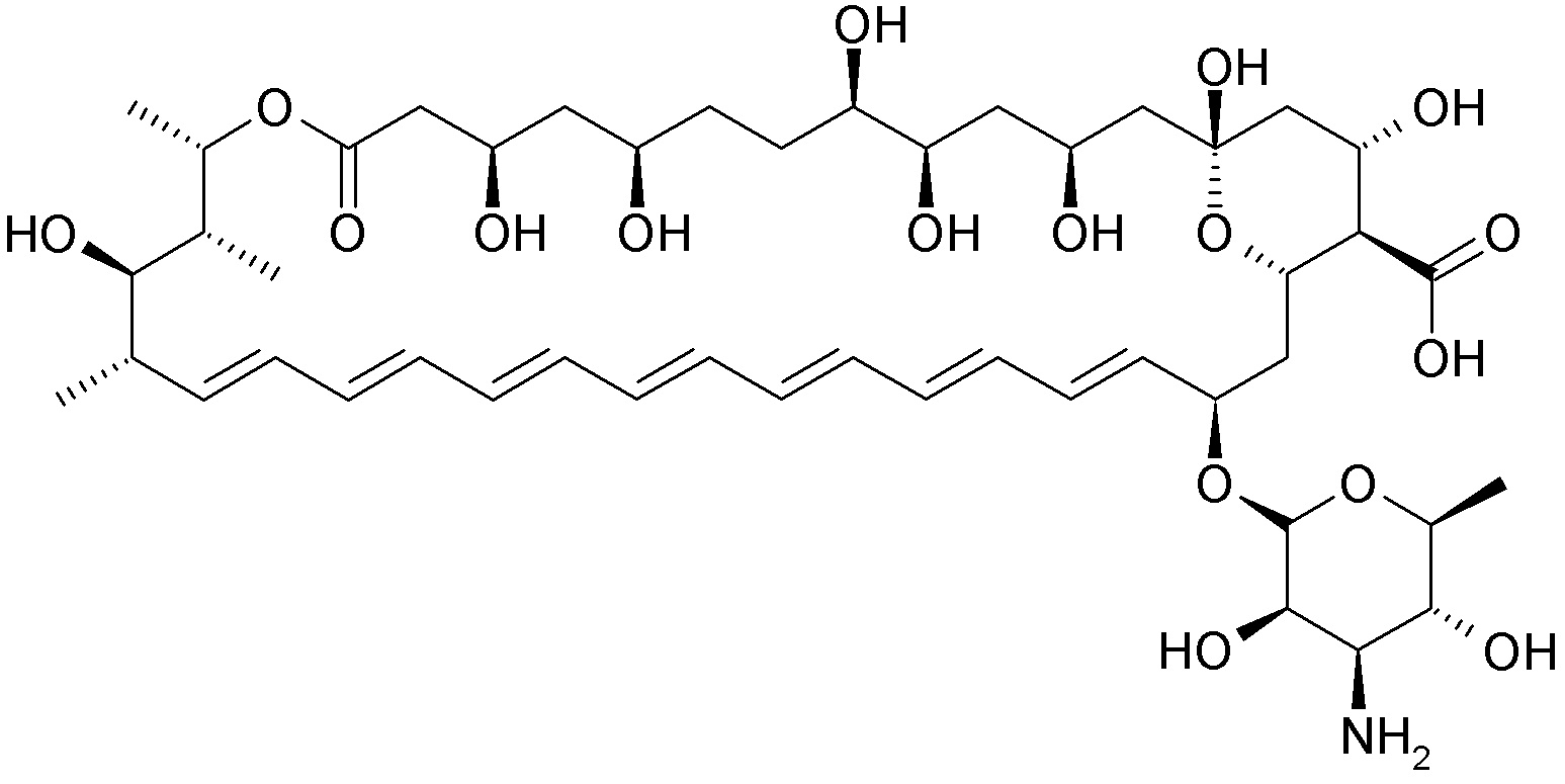
   化学構造  

エアロゾル
引用文献   エアロゾル   引用文献 : Amphotericin B  
形式 出版物
3069 雑誌 Juarez JC, ,Lopez RM, Hucto M et al.
Stability of amphotericin B in water solution for inhalation.
Eur Hosp Pharm 1997 ; 3: 59-60.

  Mentions Légales