Laatste update :
18/03/2026
Antimycoticum   Amphotericin B  
Aerosol
gorgelen injecteerbaar geneesmiddel Oogwater Orale Oplossing
Stabiliteit van farmaceutische preparaten Stabiliteit in mengsels Factoren die de stabiliteit beïnvloeden Verenigbaarheden Literatuur pdf
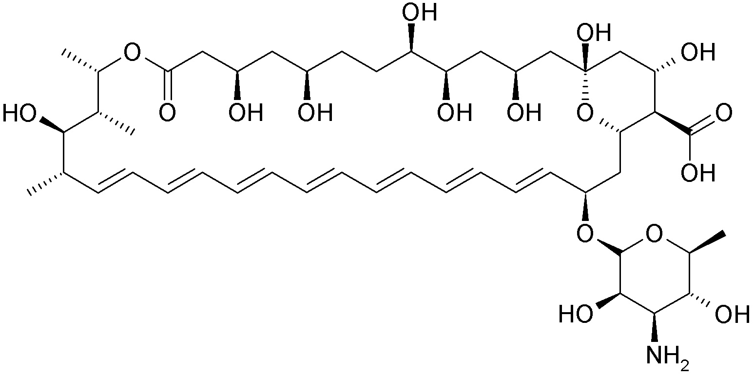
   Molecuulstructuur  

Aerosol
Literatuur   Aerosol   Literatuur : Amphotericin B  
type publicatie
3069 Artikel Juarez JC, ,Lopez RM, Hucto M et al.
Stability of amphotericin B in water solution for inhalation.
Eur Hosp Pharm 1997 ; 3: 59-60.

  Mentions Légales