Seneste opdatering :
27/11/2025
Antisvampe   Amphotericin B  
Aerosol
Injektion Mundskyllevæske Oral opløsning Øjendråber
Stabilitet af farmaceutiske tilberedninger Stabilitet i blandinger Faktorer der påvirker stabiliteten Kompatibilitet Bibliografi pdf
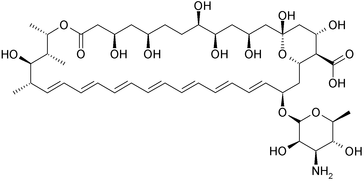
   Kemisk struktur  

Aerosol
Bibliografi   Aerosol   Bibliografi : Amphotericin B  
Type offentliggørelse
3069 Journal Juarez JC, ,Lopez RM, Hucto M et al.
Stability of amphotericin B in water solution for inhalation.
Eur Hosp Pharm 1997 ; 3: 59-60.

  Mentions Légales