Останнє оновлення :
05/12/2025
Електроліт   Calcium gluconate  
Мазі
ін'єкція
Стабільність фармацевтичних препаратів Стійкість сумішей Фактори, що впливають на стабільність Сумісність Список літератури pdf
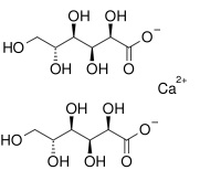
   Хімічна структура  

Мазі
Стабільність фармацевтичних препаратів   Мазі   Стабільність фармацевтичних препаратів : Calcium gluconate     
Контейнер Origine допоміжна речовина температура Зберігання Тривалість стабільності Список літератури
скло powder 2.5 g
Calcium gluconate
Гідроксіетилцелюлоза 3 g
пропіленгліколь 5 g
Очищена вода 87 g
25°C Не визначено
180 День
3017


  Mentions Légales