Dernière mise à jour :
18/03/2026
Infostab
Liste des molécules
Listes récapitulatives
Recherches de compatibilités
Tableau de compatibilités en Y
Bibliographie
Equipes de recherche
Valistab
Posters
Liens infostab
Partenaires
Auteurs
Manuel d'utilisation
Lettre d'actualité
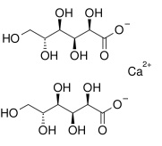
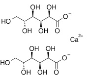
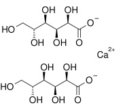
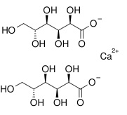
Calcium gluconate
Structure chimique
Stabilité des préparations : Calcium gluconate
2.5 g
Calcium gluconate
Hydroxyéthylcellulose
3 g
propylène Glycol
5 g
Eau purifiée
87 g
25°C
180
3017
Mentions Légales