Ostatnia aktualizacja :
05/12/2025
elektrolit   Calcium gluconate  
Maści
Injekcje
Stabilność preparatów farmaceutycznych Trwałość w mieszaninie Czynnik wpływający na trwałość Zgodność Bibliografia pdf
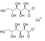
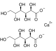
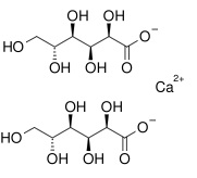
   Struktura chemiczna  

Maści
Stabilność preparatów farmaceutycznych   Maści   Stabilność preparatów farmaceutycznych : Calcium gluconate     
Pojemnik Origine Substancja pomocniczna Temperatura Przechowywanie Czas trwania stabilności Bibliografia
Szkło Proszek 2.5 g
Calcium gluconate
Hydroksyetyloceluloza 3 g
Glikol propylenowy 5 g
Woda oczyszczona 87 g
25°C Nie wyszczególniony
180 Dzień
3017


  Mentions Légales