Siste oppdatering :
05/12/2025
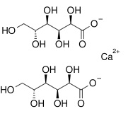
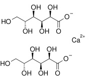
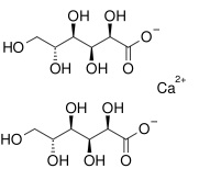
elektrolytt   Calcium gluconate  
Salver
Injeksjon
Stabilitet av farmasøytiske preparater Stabilitet i blandinger Faktorer som påvirker stabiliteten Kompatibilitet Referanser pdf
   Kjemisk struktur  

Salver
Stabilitet av farmasøytiske preparater   Salver   Stabilitet av farmasøytiske preparater : Calcium gluconate     
Beholder Origine Hjelpestoff Temperatur Oppbevaring Varighet av stabilitet Referanser
Glass Pulver 2.5 g
Calcium gluconate
Hydroksyetylcellulose 3 g
Propylenglykol 5 g
Renset vann 87 g
25°C Ikke angitt
180 Dag
3017


  Mentions Légales