Last update :
18/03/2026
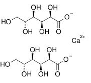
Electrolyte   Calcium gluconate  
Ointments
injection
Stability of pharmaceutical preparations Stability of mixtures Factors which affect stability Compatibility References pdf
   Chemical structure  

Ointments
Stability of pharmaceutical preparations   Ointments   Stability of pharmaceutical preparations : Calcium gluconate     
Container Origine excipient Temperature Storage Duration of stability References
Glass powder 2.5 g
Calcium gluconate
Hydroxyethylcellulose 3 g
propylene glycol 5 g
Purified water 87 g
25°C Not specified
180 Day
3017


  Mentions Légales