Последнее обновление :
18/03/2026
электролит   Calcium gluconate  
Мази
Инъекция
Стабильность фармацевтических препаратов Стабильность смесей Факторы, которые влияют на стабильность Совместимость Библиография pdf
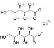
   Химическая структура  

Мази
Стабильность фармацевтических препаратов   Мази   Стабильность фармацевтических препаратов : Calcium gluconate     
Упаковка Origine Наполнитель Температура Хранение Продолжительность стабильности Ссылки
Стекло Порошок 2.5 g
Calcium gluconate
Гидроксиэтилцеллюлоза 3 g
Пропиленгликоль 5 g
Очищенная вода 87 g
25°C Не указано
180 День
3017


  Mentions Légales