Останнє оновлення :
27/01/2026
Протипухлинний препарат   Etoposide  
Розчин для перорального застосування
ін'єкція
Стабільність фармацевтичних препаратів Стійкість сумішей Фактори, що впливають на стабільність Сумісність Список літератури pdf
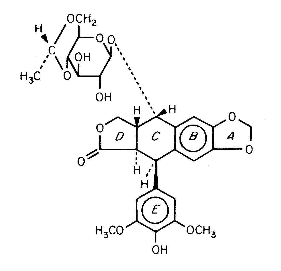
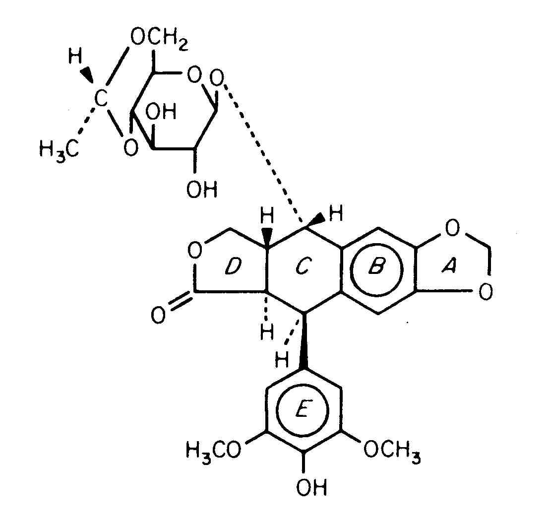
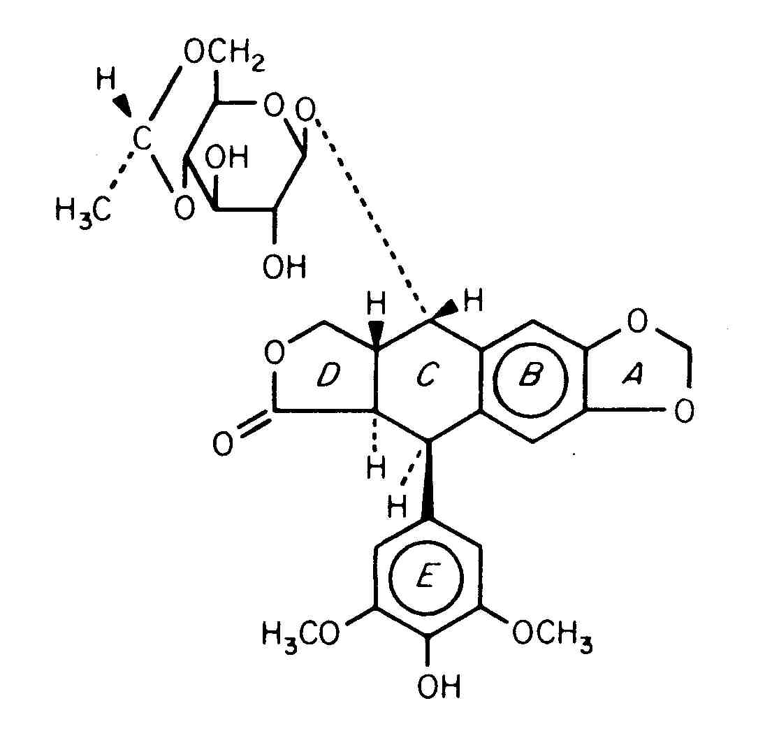
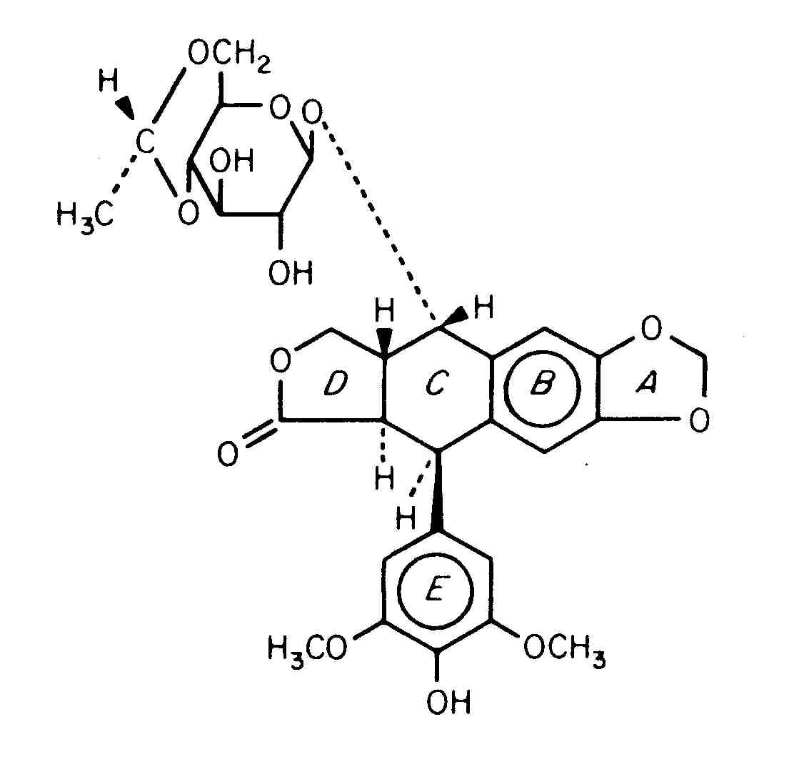
   Хімічна структура  

Розчин для перорального застосування
Сумісність   Розчин для перорального застосування   Сумісність : Etoposide              
7 / 5 000 Résultats de traduction Немає даних

  Mentions Légales