Последно актуализиране :
27/01/2026
противораково лекарство   Etoposide  
Орален разтвор
Инжекция/Инжекционен
Стабилност на лекарствени препарати Стабилност на смеси Фактори, повлияващи стабилността Съвместимост Библиография Pdf
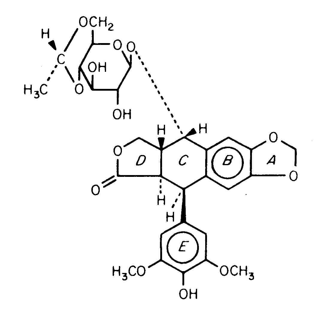
   Химична структура  

Орален разтвор
Съвместимост   Орален разтвор   Съвместимост : Etoposide              
Няма данни

  Mentions Légales