آخر تحديث :
18/03/2026
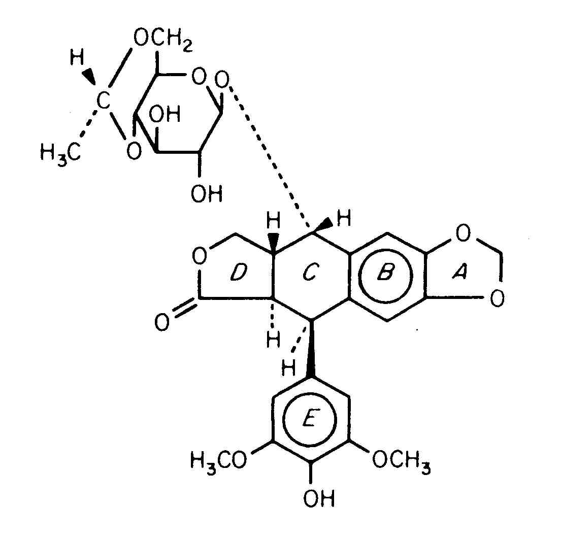
المضادة للسرطان المخدرات   Etoposide  
عن طريق الفم
حقن
استقرار المستحضرات الصيدلانية استقرار مخاليط العوامل التي تؤثر على الاستقرار التوافق مراجع pdf
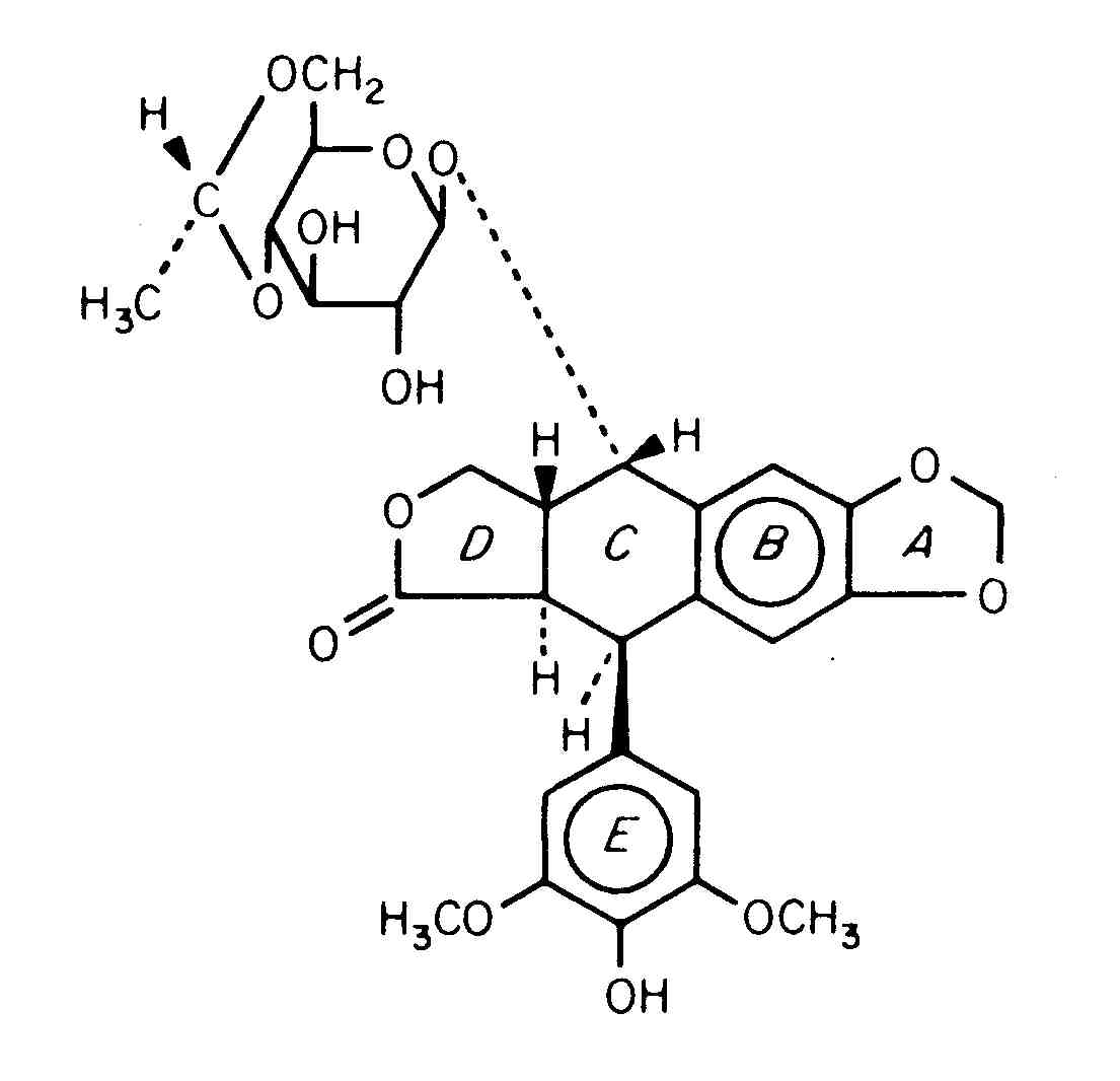
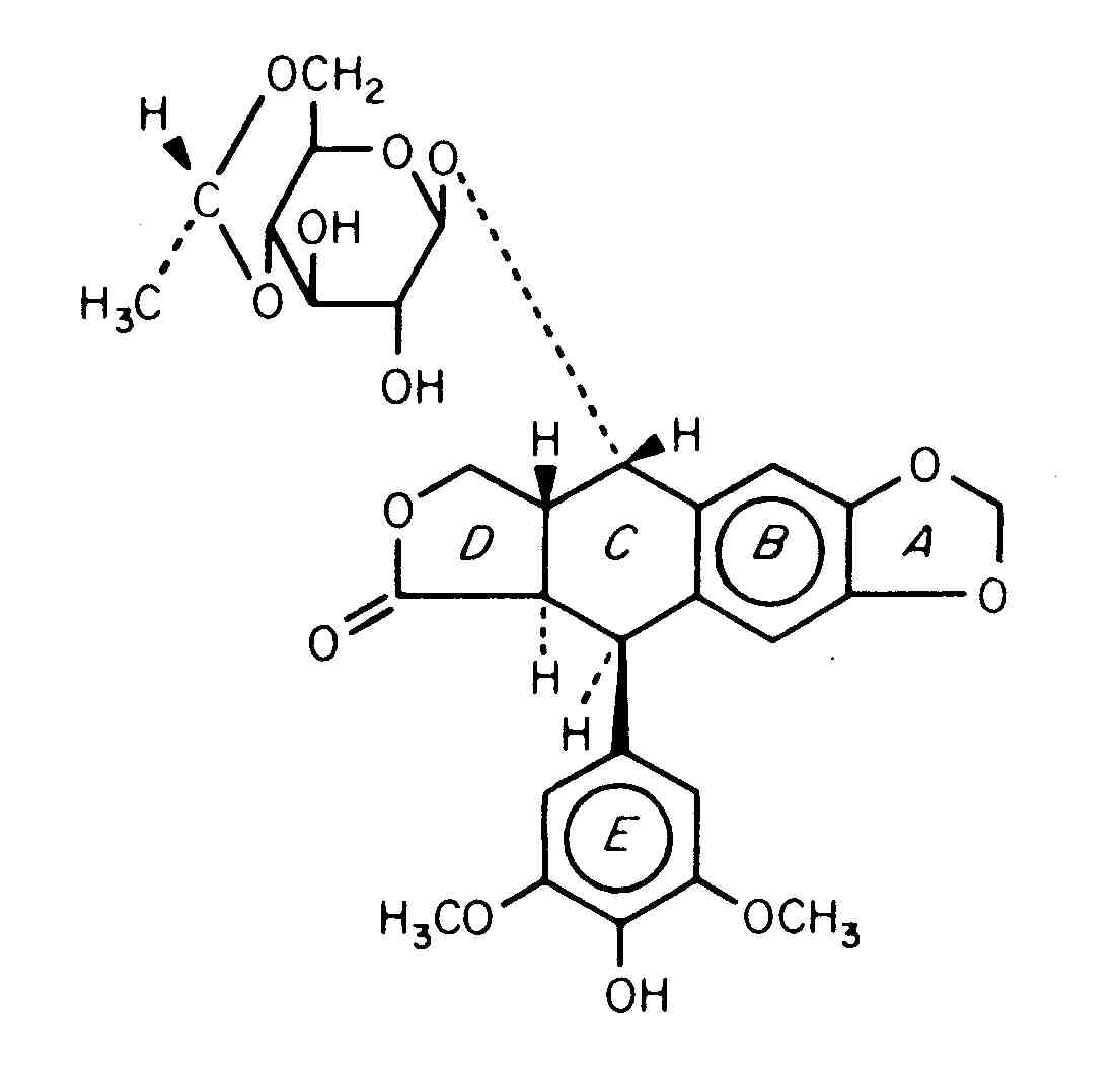
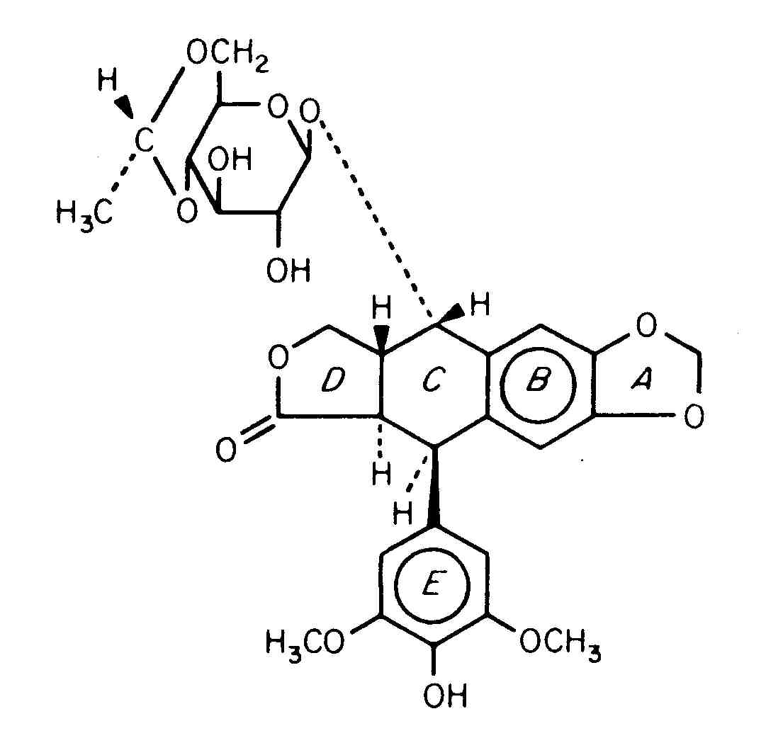
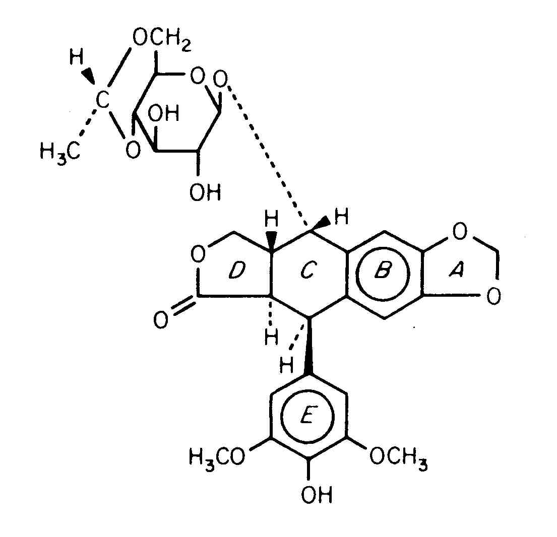
   التركيب الكيميائي  

عن طريق الفم
التوافق   عن طريق الفم     التوافق : Etoposide              
لا توجد بيانات

  Mentions Légales