Seneste opdatering :
18/03/2026
anticancer medicin   Etoposide  
Oral opløsning
Injektion
Stabilitet af farmaceutiske tilberedninger Stabilitet i blandinger Faktorer der påvirker stabiliteten Kompatibilitet Bibliografi pdf
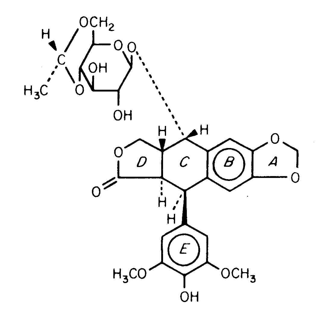
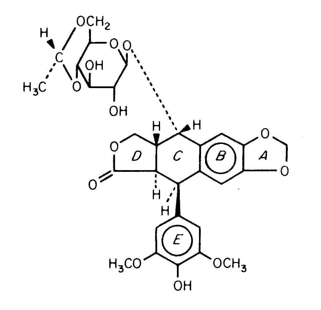
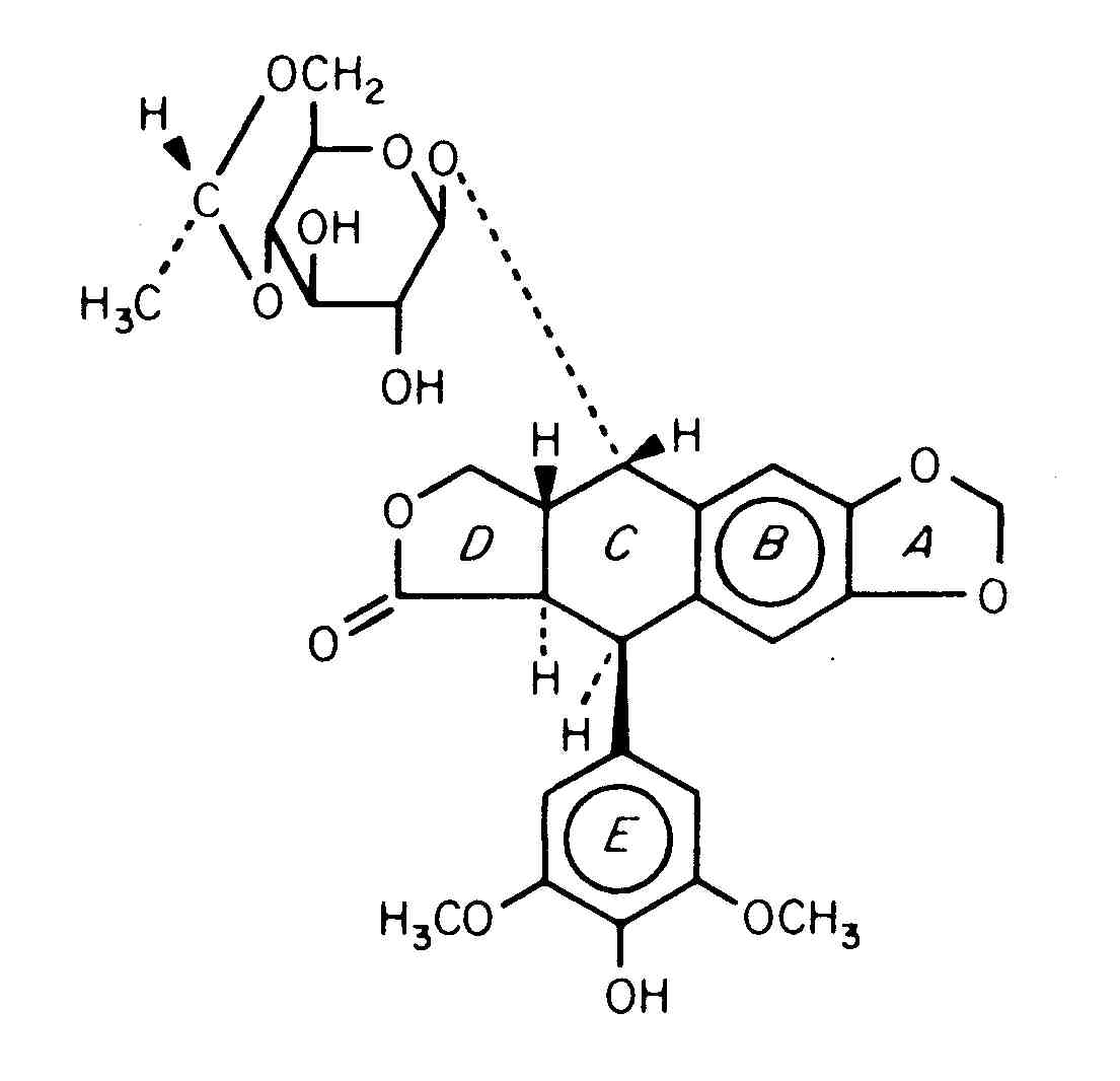
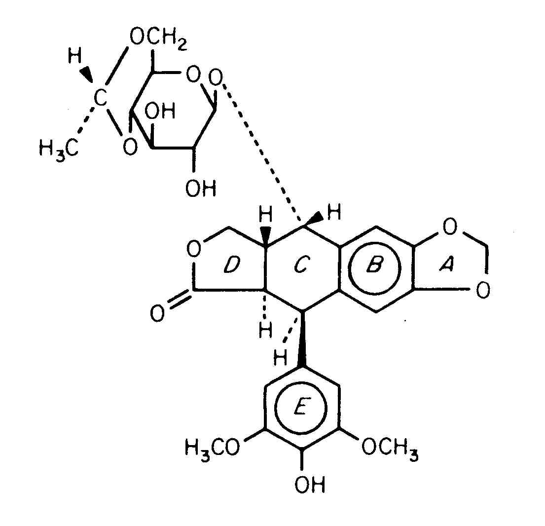
   Kemisk struktur  

Oral opløsning
Kompatibilitet   Oral opløsning   Kompatibilitet : Etoposide              
Ingen data

  Mentions Légales