Poslední aktualizace :
18/03/2026
rakovina drog   Etoposide  
Perorální roztok
injekce
Stabilita farmaceutických přípravků Stabilita směsí Faktory ovlivňující stabilitu Kompatibilita Odkazy pdf
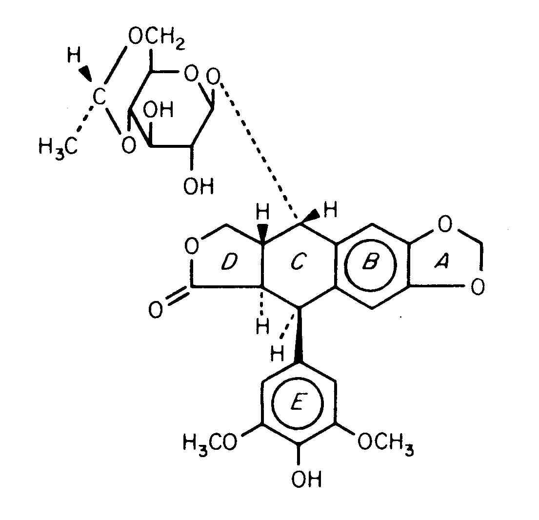
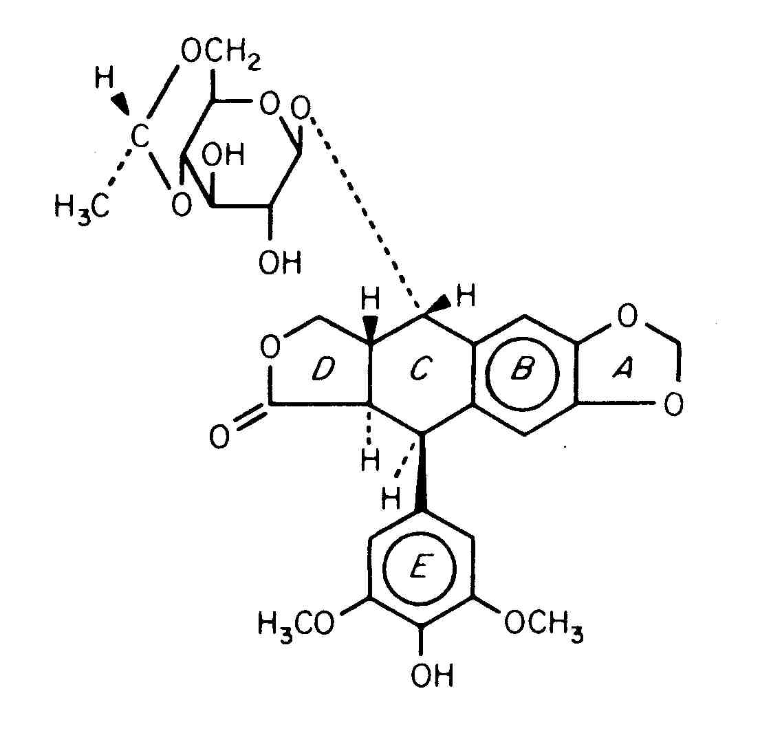
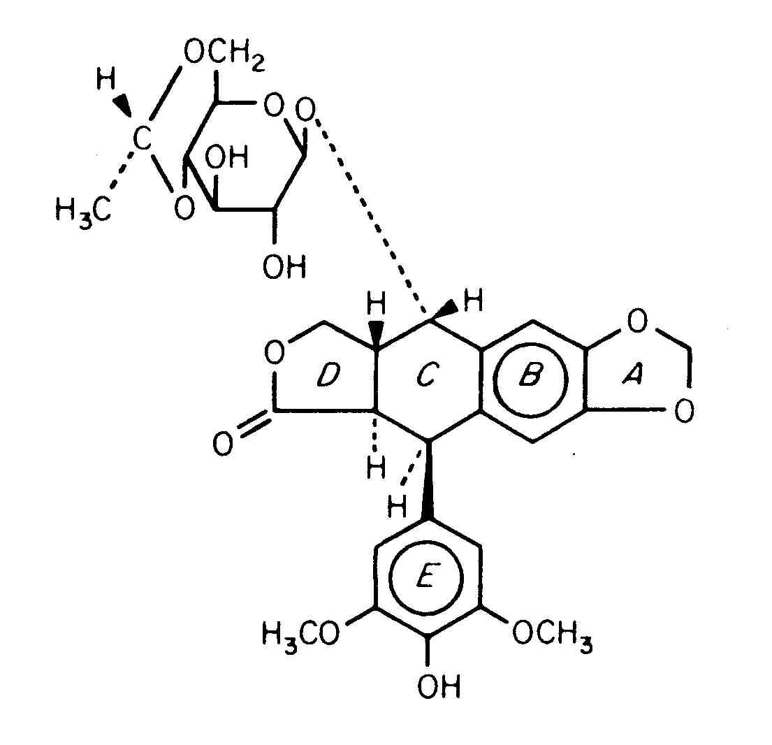
   Chemický vzorec  

Perorální roztok
Kompatibilita   Perorální roztok   Kompatibilita : Etoposide              
žádná data

  Mentions Légales