Siste oppdatering :
27/01/2026
kreft narkotika   Etoposide  
Mikstur
Injeksjon
Stabilitet av farmasøytiske preparater Stabilitet i blandinger Faktorer som påvirker stabiliteten Kompatibilitet Referanser pdf
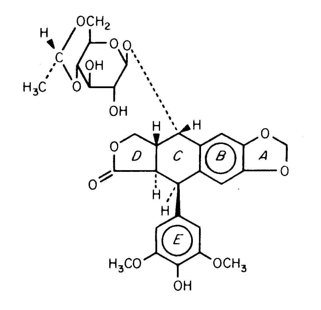
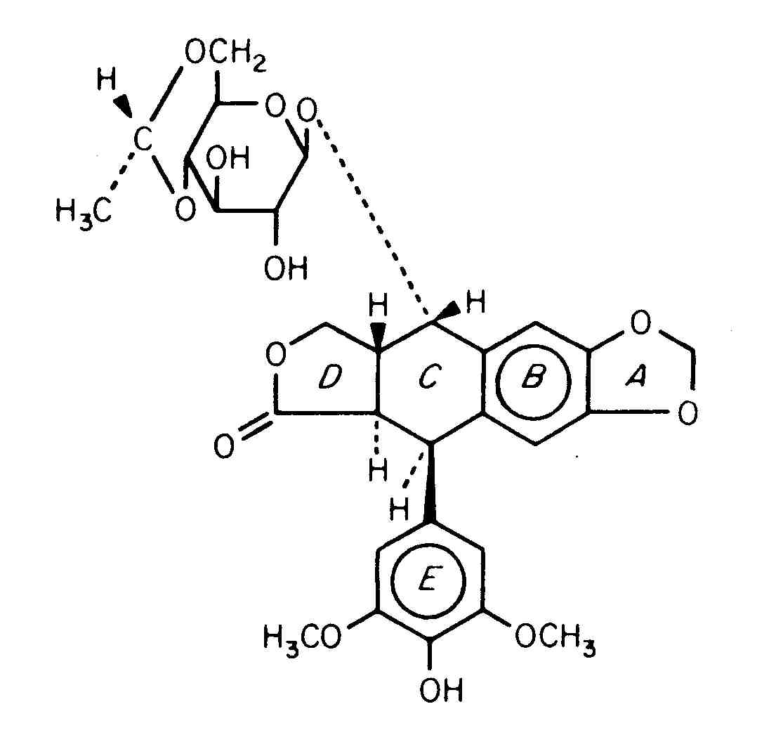
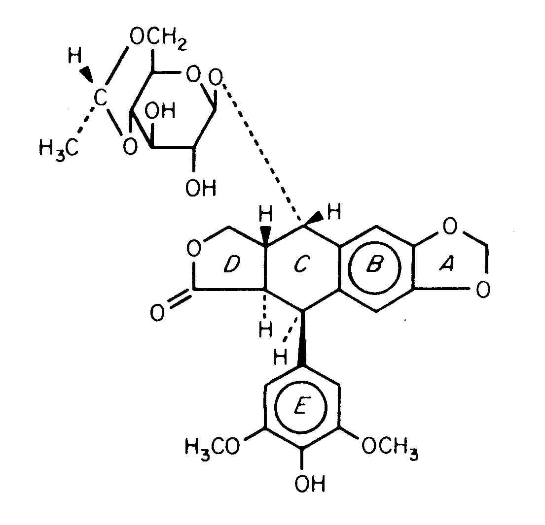
   Kjemisk struktur  

Mikstur
Kompatibilitet   Mikstur   Kompatibilitet : Etoposide              
Ingen opplysninger

  Mentions Légales