Última actualización :
17/12/2025
Inmunosupresor   Ciclosporin  
Solución Oral
Gotas oculares Inyectables Preparaciones tópicas
La estabilidad de las preparaciones farmacéuticas Estabilidad en mezcla Factores que influyen sobre la estabilidad Compatibilidades Bibliografía pdf
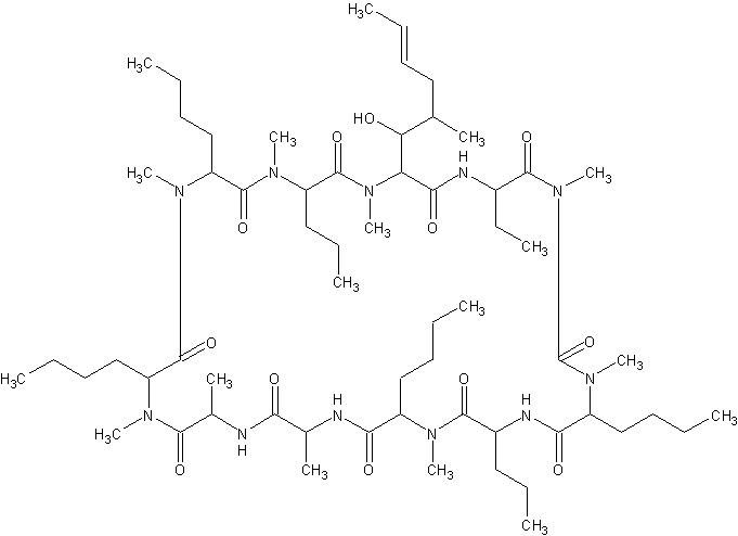
   Estructura química  

Solución Oral
La estabilidad de las preparaciones farmacéuticas   Solución Oral   La estabilidad de las preparaciones farmacéuticas : Ciclosporin     
Envase Origine Excipiente Temperatura Conservación Duración de la estabilidad Bibliografía
Vidrio Polvo 2000 mg
® = ?
SyrSpend SF® >> 20 ml
25°C No precisada
90 Día
4198

Vidrio Polvo 2000 mg
® = ?
SyrSpend SF® >> 20 ml
4°C No precisada
90 Día
4198

jeringa polipropileno Frasco para medicamentos inyectables 100 mg/ml
Sandimmune®
Ninguno
25°C Con o sin luz
28 Día
453


  Mentions Légales