Última actualização :
17/12/2025
Inmunosupressor   Ciclosporin  
Solução Oral
injetável Pomadas solução oftálmica
Estabilidade de preparações farmacêuticas Estabilidade em misturas Factores que afectam a sua estabilidade Compatibilidade Bibliografía pdf
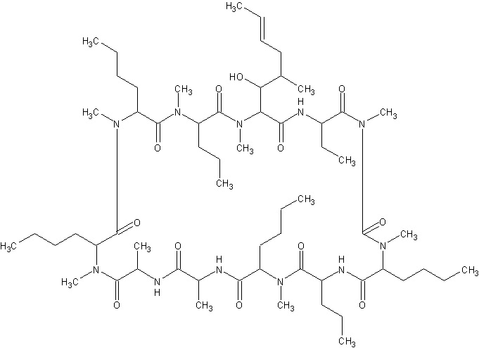
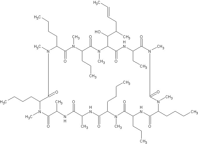
   estrutura química  

Solução Oral
Estabilidade de preparações farmacêuticas   Solução Oral   Estabilidade de preparações farmacêuticas : Ciclosporin     
Embalagem Origine excipiente temperatura conservação Duração da estabilidade Bibliografia
vidro pó 2000 mg
® = ?
SyrSpend SF® >> 20 ml
25°C no especificado
90 dia
4198

vidro pó 2000 mg
® = ?
SyrSpend SF® >> 20 ml
4°C no especificado
90 dia
4198

seringa polipropylen frasco de medicamento para injeção 100 mg/ml
Sandimmune®
nenhum
25°C Com ou sem luz
28 dia
453


  Mentions Légales