Seneste opdatering :
17/12/2025
Immunsuppressivum   Ciclosporin  
Oral opløsning
Injektion Salver Øjendråber
Stabilitet af farmaceutiske tilberedninger Stabilitet i blandinger Faktorer der påvirker stabiliteten Kompatibilitet Bibliografi pdf
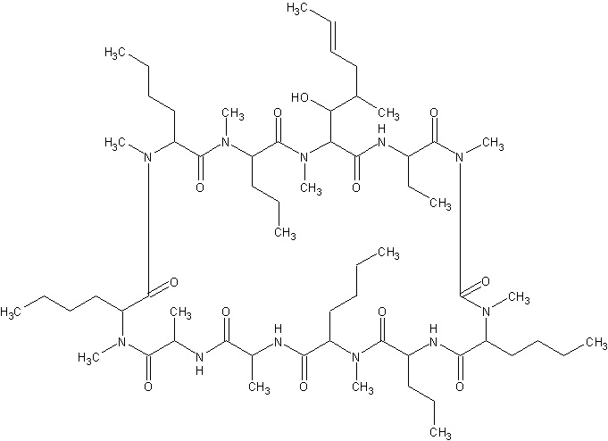
   Kemisk struktur  

Oral opløsning
Stabilitet af farmaceutiske tilberedninger   Oral opløsning   Stabilitet af farmaceutiske tilberedninger : Ciclosporin     
Beholder Origine Hjælpestof Temperatur Konservering Varighed af stabilitet Bibliografi
Glas Pulver 2000 mg
® = ?
SyrSpend SF® >> 20 ml
25°C Ikke nærmere angivet
90 Dag
4198

Glas Pulver 2000 mg
® = ?
SyrSpend SF® >> 20 ml
4°C Ikke nærmere angivet
90 Dag
4198

sprøjte polypropylen Medicinflaske til injektion 100 mg/ml
Sandimmune®
Ingen
25°C Med eller uden lys
28 Dag
453


  Mentions Légales