Pēdējā atjaunošana :
18/03/2026
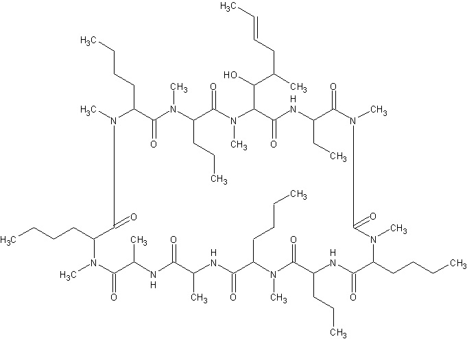
Imūnsupresors   Ciclosporin  
Orāls šķīdums
Acu pilieni Injekcija Ziedes
Stabilitāte farmaceitisko preparātu Maisījuma stabilitāte Stabilitāti ietekmējoši faktori Saderība Literatūras saraksts pdf
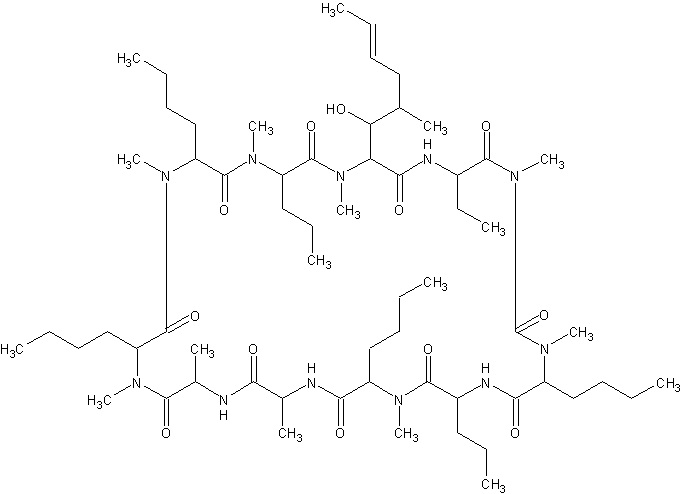
   Ķīmiskā uzbūve   

Orāls šķīdums
Stabilitāte farmaceitisko preparātu   Orāls šķīdums   Stabilitāte farmaceitisko preparātu : Ciclosporin     
Iepakojums Origine Palīgviela Temperatūra Glabāšana Stabilitātes ilgums Literatūras saraksts
Stikls Pūderis 2000 mg
® = ?
SyrSpend SF® >> 20 ml
25°C Nav specifisks
90 Diena
4198

Stikls Pūderis 2000 mg
® = ?
SyrSpend SF® >> 20 ml
4°C Nav specifisks
90 Diena
4198

Šļirce polipropilēna Medicīniskā pudele injekcijām 100 mg/ml
Sandimmune®
Nav
25°C Ar vai bez gaismas
28 Diena
453


  Mentions Légales