Τελευταία ενημέρωση :
18/03/2026
Ανοσοκατασταλτικό   Ciclosporin  
Πόσιμο διάλυμα
Αλοιφές Ενέσιμο Οφθαλμικές σταγόνες
Σταθερότητα και συμβατότητα των φαρμάκων Σταθερότητα σε μίγματα Παράγοντας που επηρεάζει τη σταθερότητα Συμβατότητες Βιβλιογραφία pdf
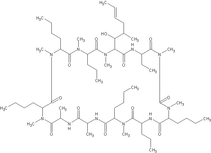
   χημική δομή  

Πόσιμο διάλυμα
Σταθερότητα και συμβατότητα των φαρμάκων   Πόσιμο διάλυμα   Σταθερότητα και συμβατότητα των φαρμάκων : Ciclosporin     
Υποδοχέας Origine Έκδοχο Θερμοκρασία Αποθήκευση Διάρκεια σταθερότητας Βιβλιογραφία
Ύαλος Σκόνη 2000 mg
® = ?
SyrSpend SF® >> 20 ml
25°C Απροσδιόριστο
90 Ημέρα
4198

Ύαλος Σκόνη 2000 mg
® = ?
SyrSpend SF® >> 20 ml
4°C Απροσδιόριστο
90 Ημέρα
4198

σύριγγα πολυπροπυλένιο Φιαλίδιο φαρμάκου για ένεση 100 mg/ml
Sandimmune®
Κανένα
25°C Με ή χωρίς φως
28 Ημέρα
453


  Mentions Légales