Poslední aktualizace :
18/03/2026
Imunosupresivum   Ciclosporin  
Perorální roztok
Humbuk injekce Masti
Stabilita farmaceutických přípravků Stabilita směsí Faktory ovlivňující stabilitu Kompatibilita Odkazy pdf
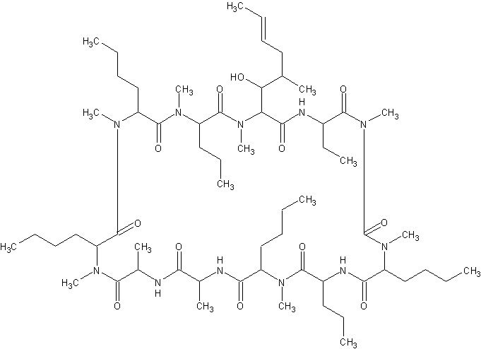
   Chemický vzorec  

Perorální roztok
Stabilita farmaceutických přípravků   Perorální roztok   Stabilita farmaceutických přípravků : Ciclosporin     
Obal Origine Pomocné látky Teplota Uchovávání Trvání stability Odkazy
Sklo prášek 2000 mg
® = ?
SyrSpend SF® >> 20 ml
25°C Nespecifikováno
90 Den
4198

Sklo prášek 2000 mg
® = ?
SyrSpend SF® >> 20 ml
4°C Nespecifikováno
90 Den
4198

stříkačka polypropylen Lékovka pro injekci 100 mg/ml
Sandimmune®
ne
25°C S nebo bez svÏtla
28 Den
453


  Mentions Légales