Ostatnia aktualizacja :
18/03/2026
Lek immunosupresyjny   Ciclosporin  
Roztwór doustny
Injekcje Krople oczne Maści
Stabilność preparatów farmaceutycznych Trwałość w mieszaninie Czynnik wpływający na trwałość Zgodność Bibliografia pdf
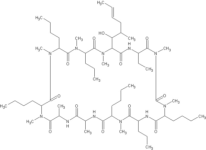
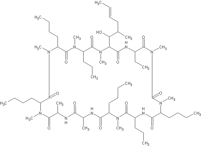
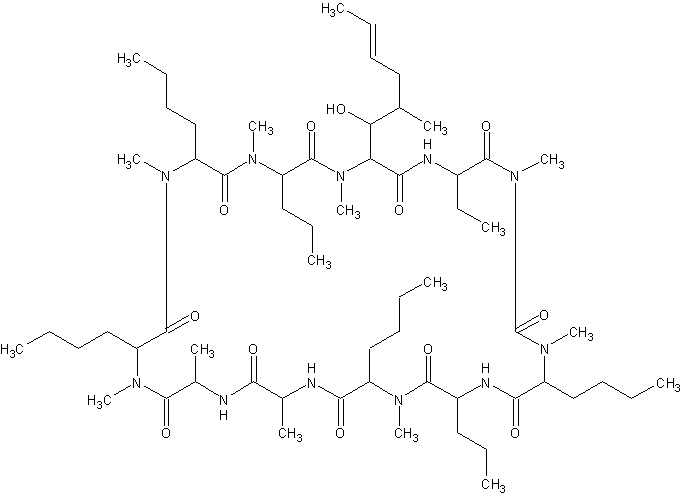
   Struktura chemiczna  

Roztwór doustny
Stabilność preparatów farmaceutycznych   Roztwór doustny   Stabilność preparatów farmaceutycznych : Ciclosporin     
Pojemnik Origine Substancja pomocniczna Temperatura Przechowywanie Czas trwania stabilności Bibliografia
Szkło Proszek 2000 mg
® = ?
SyrSpend SF® >> 20 ml
25°C Nie wyszczególniony
90 Dzień
4198

Szkło Proszek 2000 mg
® = ?
SyrSpend SF® >> 20 ml
4°C Nie wyszczególniony
90 Dzień
4198

Strzykawka Fiolka 100 mg/ml
Sandimmune®
Żadny
25°C Przy świetle lub w ciemności
28 Dzień
453


  Mentions Légales