Cập nhật lần cuối :
27/11/2025
Kháng sinh   Rifabutin  
Dung dịch uống
Tính ổn định của các chế phẩm Độ ổn định khi trộn lẫn Những yếu tố ảnh hưởng đến độ ổn định Khả năng tương thích Tài liệu tham khảo Pdf
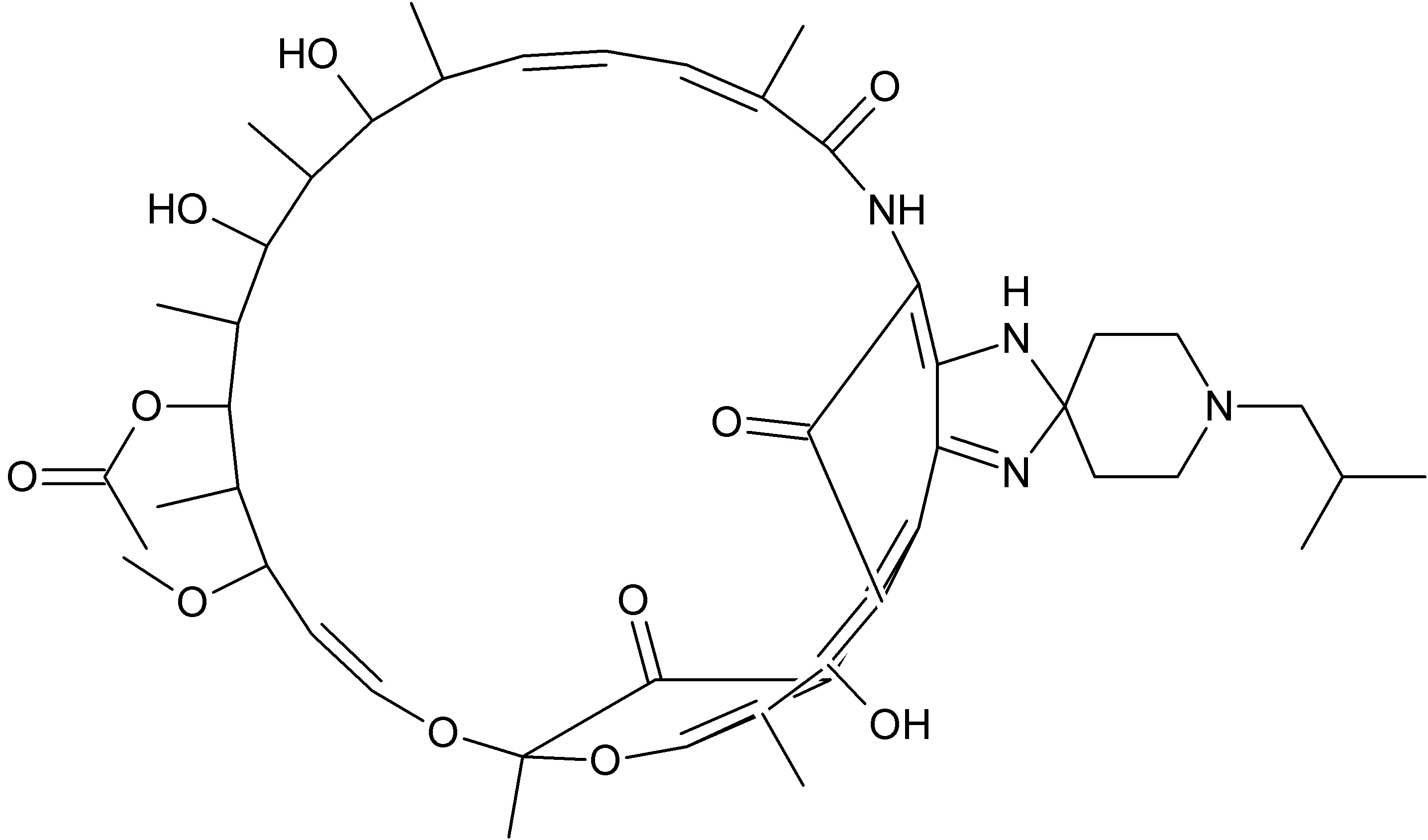
   Cấu trúc hóa học  

Dung dịch uống
Tính ổn định của các chế phẩm   Dung dịch uống   Tính ổn định của các chế phẩm : Rifabutin     
Bao bì Nguyên bản Tá dược Nhiệt độ Bảo quản Thời gian ổn định Mục lục
Lọ nhựa Viên nang 200 mg
Mycobutin®
Si rô anh đào >>10ml
25°C Không rõ
84 Ngày
2419

Lọ nhựa Viên nang 200 mg
Mycobutin®
OraPlus® / OraSweet® (1:1) >>10ml
25°C Không rõ
84 Ngày
2419

Lọ nhựa Viên nang 200 mg
Mycobutin®
Si rô anh đào >>10ml
30-40°C Không rõ
56 Ngày
2419

Lọ nhựa Viên nang 200 mg
Mycobutin®
OraPlus® / OraSweet® (1:1) >>10ml
30-40°C Không rõ
84 Ngày
2419

Lọ nhựa Viên nang 200 mg
Mycobutin®
Si rô anh đào >>10ml
4°C Không rõ
84 Ngày
2419

Lọ nhựa Viên nang 200 mg
Mycobutin®
OraPlus® / OraSweet® (1:1) >>10ml
4°C Không rõ
84 Ngày
2419


  Mentions Légales