Последнее обновление :
27/11/2025
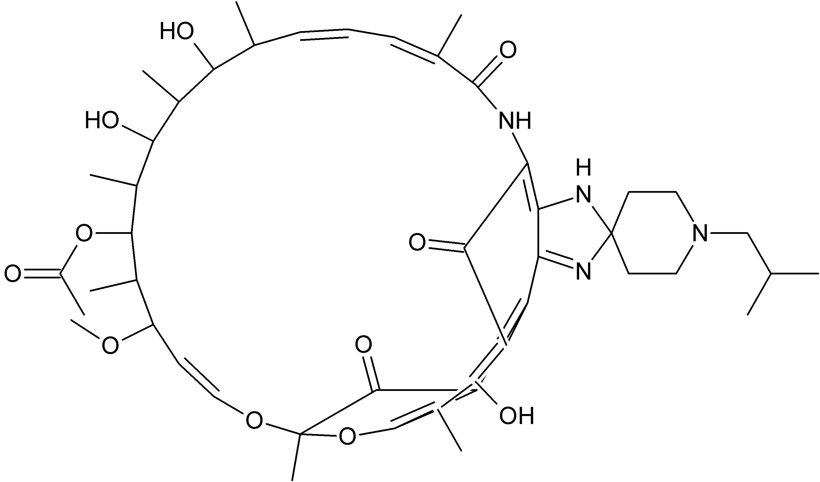
Антибиотик   Rifabutin  
Раствор для перорального приёма
Стабильность фармацевтических препаратов Стабильность смесей Факторы, которые влияют на стабильность Совместимость Библиография pdf
   Химическая структура  

Раствор для перорального приёма
Стабильность фармацевтических препаратов   Раствор для перорального приёма   Стабильность фармацевтических препаратов : Rifabutin     
Упаковка Origine Наполнитель Температура Хранение Продолжительность стабильности Ссылки
Пластиковая бутылка Капсулы 200 mg
Mycobutin®
Вишневый сироп >>10ml
25°C Не указано
84 День
2419

Пластиковая бутылка Капсулы 200 mg
Mycobutin®
OraPlus® / OraSweet® (1:1) >>10ml
25°C Не указано
84 День
2419

Пластиковая бутылка Капсулы 200 mg
Mycobutin®
Вишневый сироп >>10ml
30-40°C Не указано
56 День
2419

Пластиковая бутылка Капсулы 200 mg
Mycobutin®
OraPlus® / OraSweet® (1:1) >>10ml
30-40°C Не указано
84 День
2419

Пластиковая бутылка Капсулы 200 mg
Mycobutin®
Вишневый сироп >>10ml
4°C Не указано
84 День
2419

Пластиковая бутылка Капсулы 200 mg
Mycobutin®
OraPlus® / OraSweet® (1:1) >>10ml
4°C Не указано
84 День
2419


  Mentions Légales