Poslední aktualizace :
27/11/2025
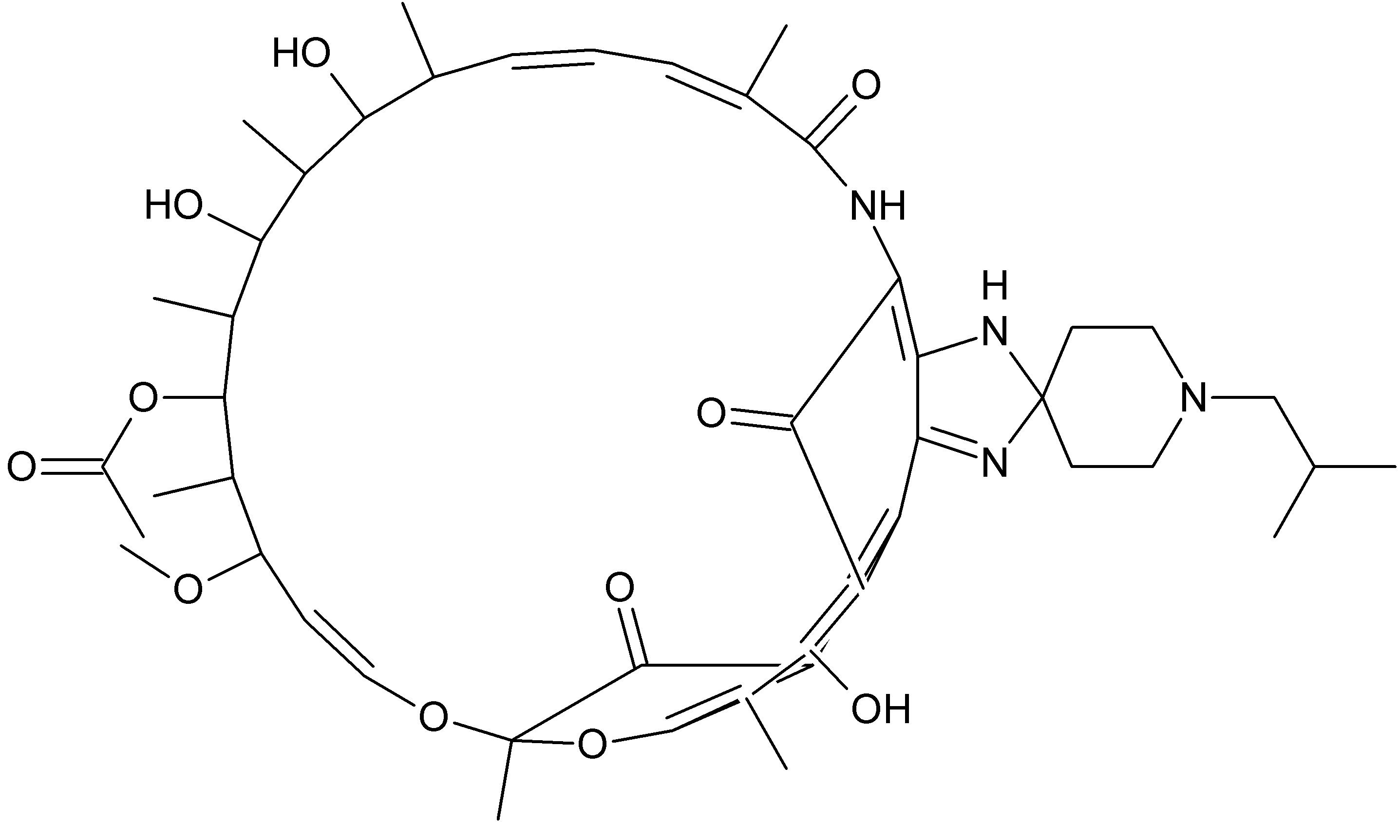
Antibiotikas   Rifabutin  
Geriamas tirpalas
Stabilumas farmacinių preparatų Mišinių stabilumas Stabilumą lemiantys veiksniai Suderinamumas Bibliografija pdf
   Cheminė sandara  

Geriamas tirpalas
Stabilumas farmacinių preparatų   Geriamas tirpalas   Stabilumas farmacinių preparatų : Rifabutin     
Pakuotė Origine Ekscipientas Temperatūra Laikymas Stabilumo trukmė Nuorodos
Plastikinis butelis Kapsulės 200 mg
Mycobutin®
Vyšnių sirupas >>10ml
25°C Nenurodyta
84 Diena
2419

Plastikinis butelis Kapsulės 200 mg
Mycobutin®
OraPlus® / OraSweet® (1:1) >>10ml
25°C Nenurodyta
84 Diena
2419

Plastikinis butelis Kapsulės 200 mg
Mycobutin®
Vyšnių sirupas >>10ml
30-40°C Nenurodyta
56 Diena
2419

Plastikinis butelis Kapsulės 200 mg
Mycobutin®
OraPlus® / OraSweet® (1:1) >>10ml
30-40°C Nenurodyta
84 Diena
2419

Plastikinis butelis Kapsulės 200 mg
Mycobutin®
Vyšnių sirupas >>10ml
4°C Nenurodyta
84 Diena
2419

Plastikinis butelis Kapsulės 200 mg
Mycobutin®
OraPlus® / OraSweet® (1:1) >>10ml
4°C Nenurodyta
84 Diena
2419


  Mentions Légales