Viimeisin päivitys :
27/11/2025
Antibiootit   Rifabutin  
Oraaliliuos
Vakaus lääkevalmisteen Stabilius seoksissa Tekijät, jotka vaikuttavat stabiliuteen Yhteensopivuus Viitteet pdf
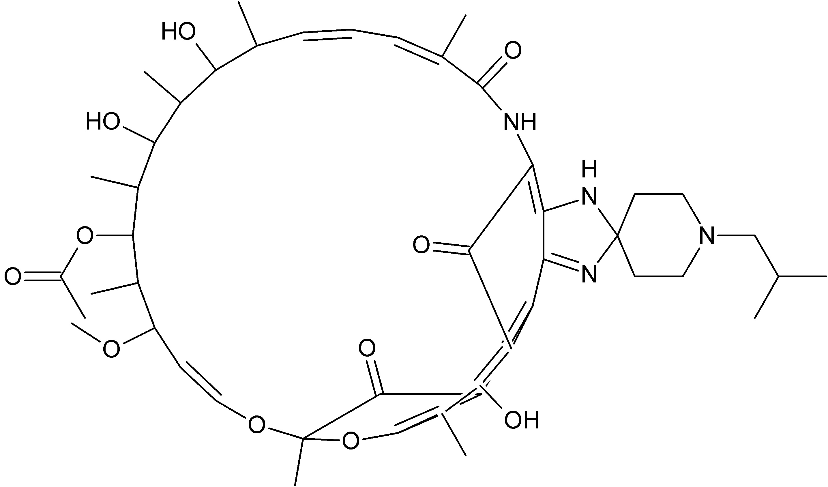
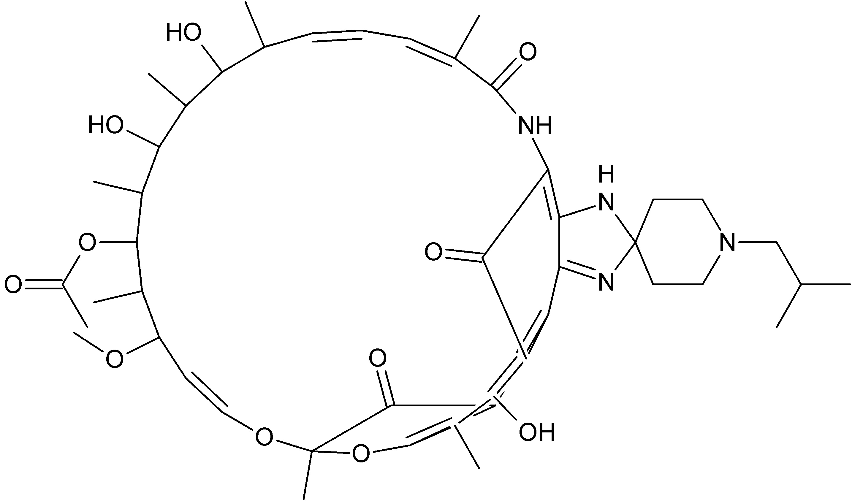
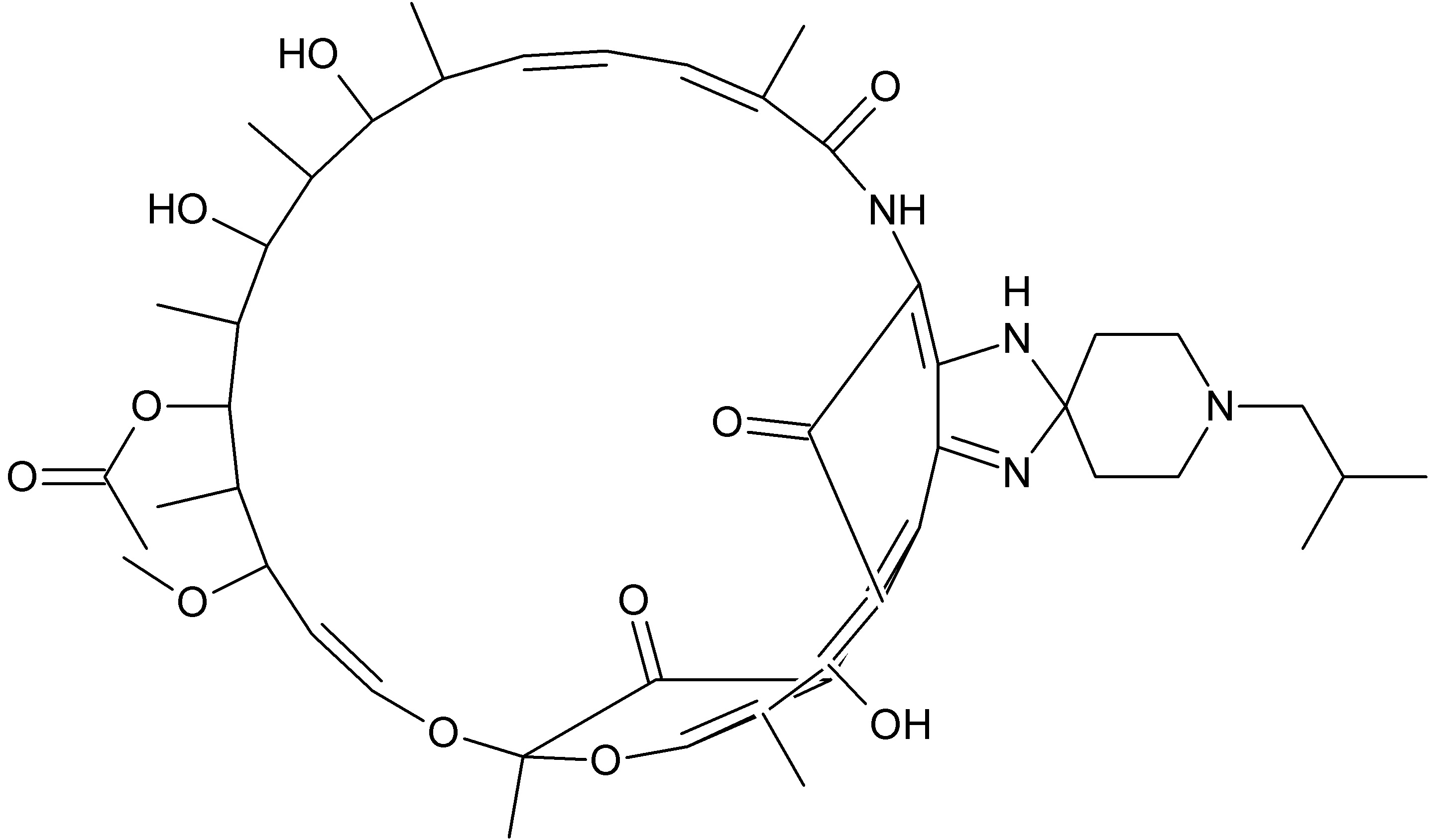
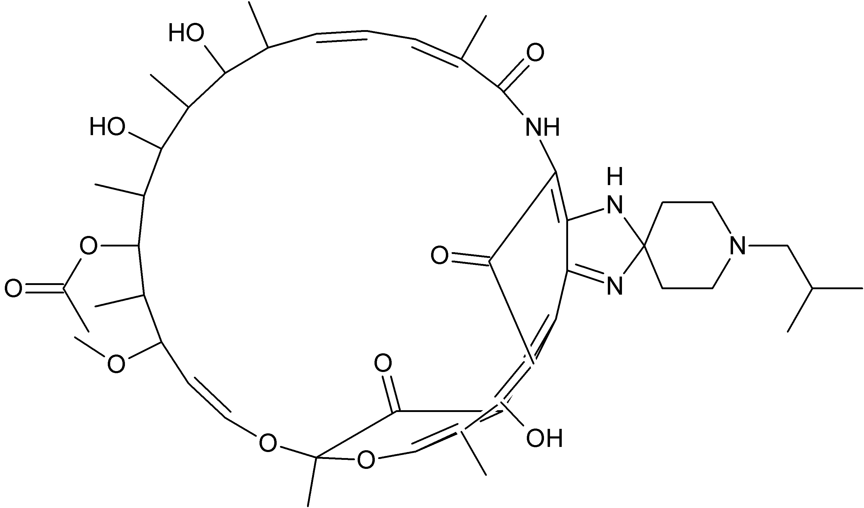
   Kemiallinen rakenne  

Oraaliliuos
Vakaus lääkevalmisteen   Oraaliliuos   Vakaus lääkevalmisteen : Rifabutin     
Astia Origine Apuaine Lämpötila Säilytys Vakauden kesto Viitteet
Muovipullo Kapseli 200 mg
Mycobutin®
Kirsikkasiirappi >>10ml
25°C Ei määritetty
84 Päivä
2419

Muovipullo Kapseli 200 mg
Mycobutin®
OraPlus® / OraSweet® (1:1) >>10ml
25°C Ei määritetty
84 Päivä
2419

Muovipullo Kapseli 200 mg
Mycobutin®
Kirsikkasiirappi >>10ml
30-40°C Ei määritetty
56 Päivä
2419

Muovipullo Kapseli 200 mg
Mycobutin®
OraPlus® / OraSweet® (1:1) >>10ml
30-40°C Ei määritetty
84 Päivä
2419

Muovipullo Kapseli 200 mg
Mycobutin®
Kirsikkasiirappi >>10ml
4°C Ei määritetty
84 Päivä
2419

Muovipullo Kapseli 200 mg
Mycobutin®
OraPlus® / OraSweet® (1:1) >>10ml
4°C Ei määritetty
84 Päivä
2419


  Mentions Légales