最新更新 :
27/11/2025
抗菌薬   Rifabutin  
経口液
調剤時の安定性 混合時の安定性 安定性に影響する因子 互換性 引用文献 PDF
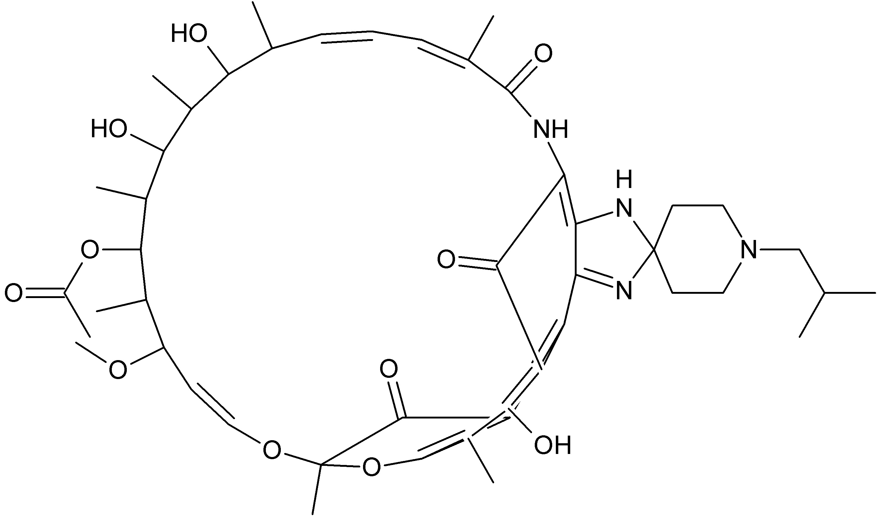
   化学構造  

経口液
調剤時の安定性   経口液   調剤時の安定性 : Rifabutin     
容器 Origine 添加剤 温度 保管 安定期間 引用文献
プラスチックボトル カプセル 200 mg
Mycobutin®
チェリーシロップ >>10ml
25°C 特記なし
84 日
2419

プラスチックボトル カプセル 200 mg
Mycobutin®
OraPlus® / OraSweet® (1:1) >>10ml
25°C 特記なし
84 日
2419

プラスチックボトル カプセル 200 mg
Mycobutin®
チェリーシロップ >>10ml
30-40°C 特記なし
56 日
2419

プラスチックボトル カプセル 200 mg
Mycobutin®
OraPlus® / OraSweet® (1:1) >>10ml
30-40°C 特記なし
84 日
2419

プラスチックボトル カプセル 200 mg
Mycobutin®
チェリーシロップ >>10ml
4°C 特記なし
84 日
2419

プラスチックボトル カプセル 200 mg
Mycobutin®
OraPlus® / OraSweet® (1:1) >>10ml
4°C 特記なし
84 日
2419


  Mentions Légales