Last update :
05/12/2025
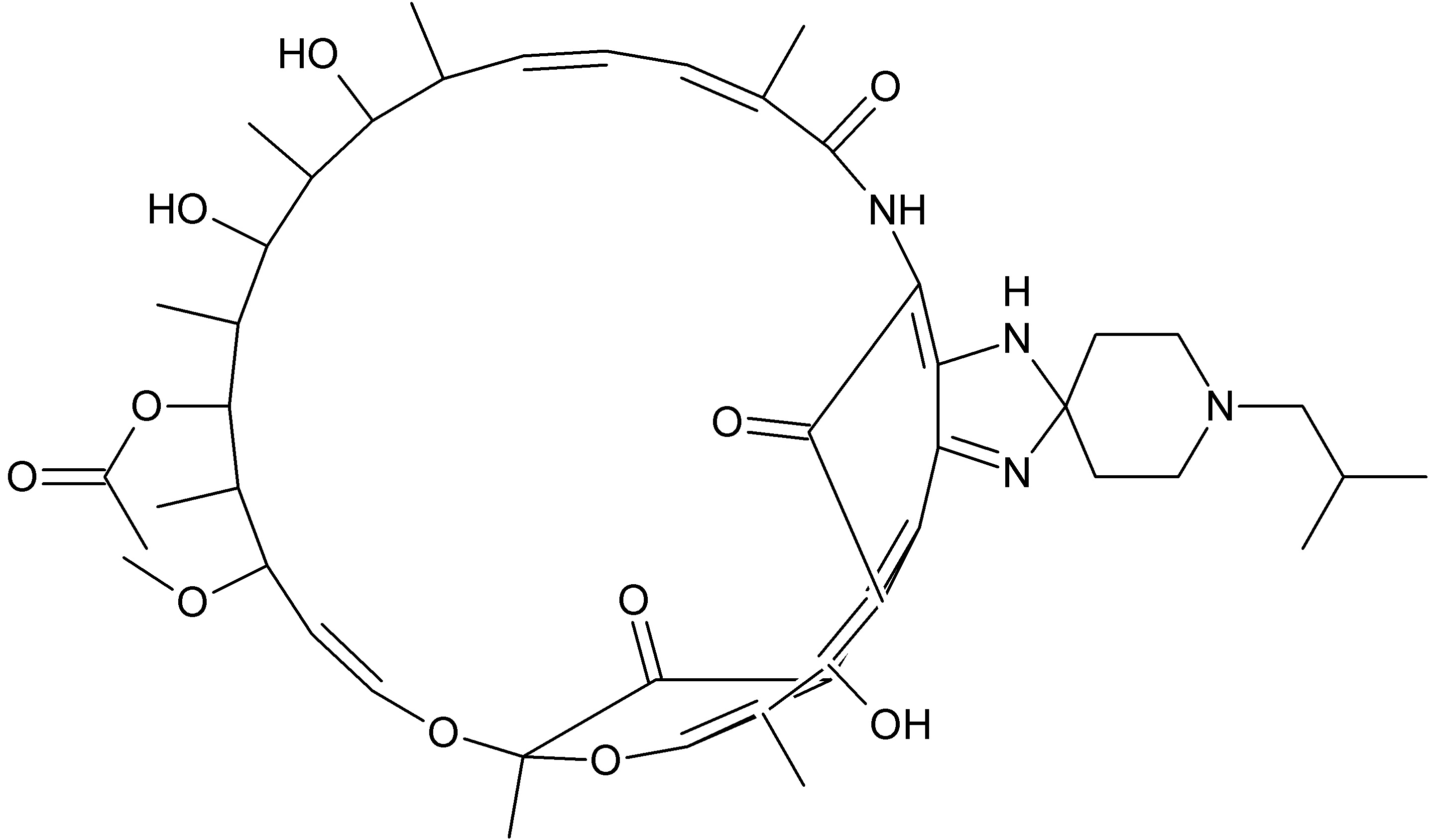
Antibiotic   Rifabutin  
Oral solution
Stability of pharmaceutical preparations Stability of mixtures Factors which affect stability Compatibility References pdf
   Chemical structure  

Oral solution
Stability of pharmaceutical preparations   Oral solution   Stability of pharmaceutical preparations : Rifabutin     
Container Origine excipient Temperature Storage Duration of stability References
plastic bottle Kapseln 200 mg
Mycobutin®
Cherry syrup >>10ml
25°C Not specified
84 Day
2419

plastic bottle Kapseln 200 mg
Mycobutin®
OraPlus® / OraSweet® (1:1) >>10ml
25°C Not specified
84 Day
2419

plastic bottle Kapseln 200 mg
Mycobutin®
Cherry syrup >>10ml
30-40°C Not specified
56 Day
2419

plastic bottle Kapseln 200 mg
Mycobutin®
OraPlus® / OraSweet® (1:1) >>10ml
30-40°C Not specified
84 Day
2419

plastic bottle Kapseln 200 mg
Mycobutin®
Cherry syrup >>10ml
4°C Not specified
84 Day
2419

plastic bottle Kapseln 200 mg
Mycobutin®
OraPlus® / OraSweet® (1:1) >>10ml
4°C Not specified
84 Day
2419


  Mentions Légales