Letztes “update” :
27/11/2025
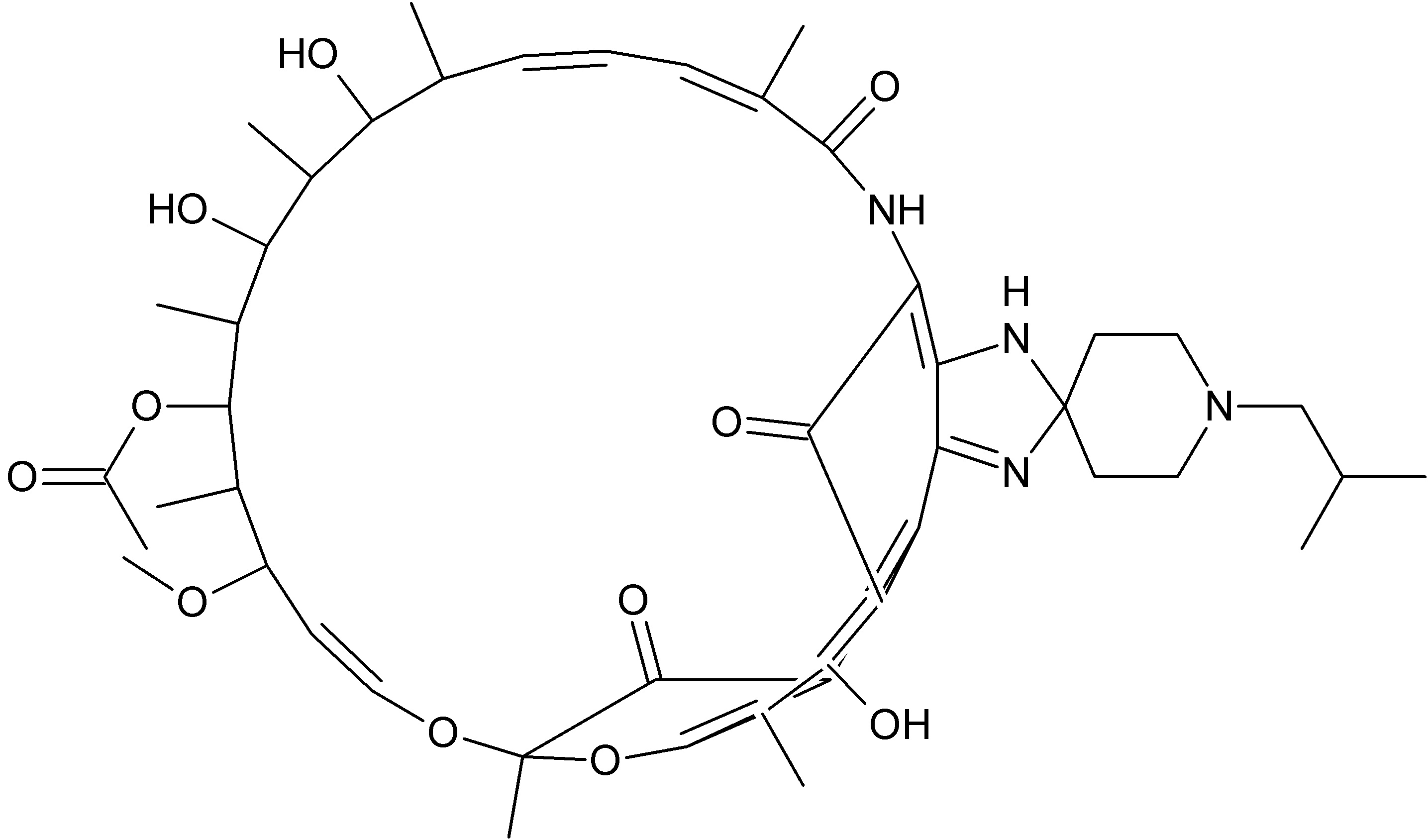
Antibiotikum   Rifabutin  
Lösung zum Einnehmen
Stabilität von pharmazeutischen Präparaten Gemengestabilität Stabilitätbeeinflussende Faktoren Kompatibilitäten Literaturverzeichnis pdf
   Chemische Struktur  

Lösung zum Einnehmen
Stabilität von pharmazeutischen Präparaten   Lösung zum Einnehmen   Stabilität von pharmazeutischen Präparaten : Rifabutin     
Behälter Origine Hilfsstoff Temperatur Konservierung Dauer der Stabilität Literaturverzeichnis
Plastikflasche Kapseln 200 mg
Mycobutin®
Kirschsirup >>10ml
25°C Nicht genau angegeben
84 Tag
2419

Plastikflasche Kapseln 200 mg
Mycobutin®
OraPlus® / OraSweet® (1:1) >>10ml
25°C Nicht genau angegeben
84 Tag
2419

Plastikflasche Kapseln 200 mg
Mycobutin®
Kirschsirup >>10ml
30-40°C Nicht genau angegeben
56 Tag
2419

Plastikflasche Kapseln 200 mg
Mycobutin®
OraPlus® / OraSweet® (1:1) >>10ml
30-40°C Nicht genau angegeben
84 Tag
2419

Plastikflasche Kapseln 200 mg
Mycobutin®
Kirschsirup >>10ml
4°C Nicht genau angegeben
84 Tag
2419

Plastikflasche Kapseln 200 mg
Mycobutin®
OraPlus® / OraSweet® (1:1) >>10ml
4°C Nicht genau angegeben
84 Tag
2419


  Mentions Légales