Cập nhật lần cuối :
18/03/2026
thuốc trị ung thư   Azacitidine  
Dạng tiêm
Tính ổn định của các dung dịch Độ ổn định khi trộn lẫn Những yếu tố ảnh hưởng đến độ ổn định Khả năng tương thích Đường dùng Tài liệu tham khảo Pdf
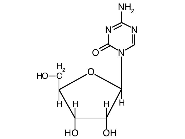
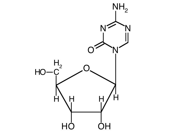
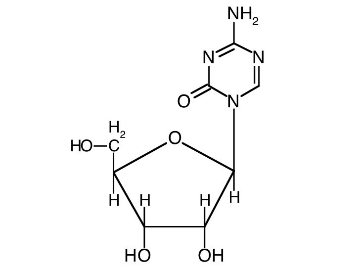
   Cấu trúc hóa học  

Tên thương mại   Tên thương mại     

Các tên thương mại được cung cấp và thành phần tá dược có thể khác nhau giữa các quốc gia và các hãng dược

Amilix Argentina
Arquimes Argentina
Azacimyl Chile
Azacitidina Argentina, Chile, Peru
Azacitidine Hoa Kỳ, Đức
Azacor Peru
Azadin Thổ Nhĩ Kỳ
Azamex Argentina
Azanova Argentina
Azateva Argentina
Azida Thổ Nhĩ Kỳ
Azitech Argentina
Citofin Argentina
Iclacitidina Peru
Iterbil Argentina
Maturus Argentina
Mietozitidina Argentina, Peru
Nimodac Argentina
Remitiva Chile
Tazadir Argentina
Vidaza Anh, Argentina, Bỉ, Brazil, Canada, Chile, Colombia, Croatia, Hoa Kỳ, Hungary, Iceland, Luxembourg, Malaysia, Mexico, Na Uy, new zealand, Nhật, Peru, Phần Lan, Pháp, Romania, Slovenia, Tây Ban Nha, Thổ Nhĩ Kỳ, Thụy Sỹ, Thụy Điển, Tunisia, Úc, Ý, Đức
Zacidonel Mexico
Zylatadina Argentina

Những yếu tố ảnh hưởng đến độ ổn định   Dạng tiêm   Những yếu tố ảnh hưởng đến độ ổn định : Azacitidine        

  Mentions Légales