Pēdējā atjaunošana :
05/12/2025
vēzis narkotiku   Azacitidine  
Injekcija
Šķīduma stabilitāte Maisījuma stabilitāte Stabilitāti ietekmējoši faktori Saderība Levadīšanas veids Literatūras saraksts pdf
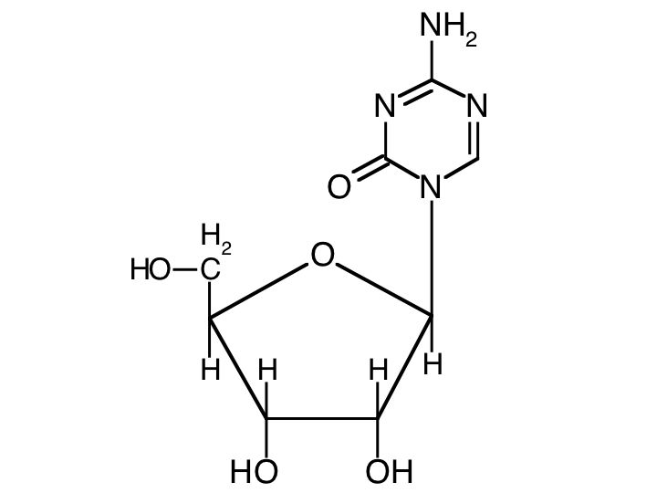
   Ķīmiskā uzbūve   

Oriģinālais nosaukums   Oriģinālais nosaukums     

Tirdzniecības nosaukumi ir apzīmējoši un palīgvielas var atšķirties dažādām valstīm un laboratorijām

Amilix Argentīna
Arquimes Argentīna
Azacimyl Čīle
Azacitidina Argentīna, Čīle, Peru
Azacitidine Amerikas Savienotās Valstis, Vācija
Azacor Peru
Azadin Turcija
Azamex Argentīna
Azanova Argentīna
Azateva Argentīna
Azida Turcija
Azitech Argentīna
Citofin Argentīna
Iclacitidina Peru
Iterbil Argentīna
Maturus Argentīna
Mietozitidina Argentīna, Peru
Nimodac Argentīna
Remitiva Čīle
Tazadir Argentīna
Vidaza Amerikas Savienotās Valstis, Argentīna, Austrālija, Beļģija, Brazīlija, Čīle, Francija, Horvātija, Islande, Itālija, Japāna, Jaunzēlande, Kanāda, Kolumbija, Lielbritānija, Luksemburga, Malaizija, Meksika, Norvēģija, Peru, Rumānija, Slovēnija, Somija, Spānija, Šveice, Tunisija, Turcija, Ungārija, Vācija, Zviedrija
Zacidonel Meksika
Zylatadina Argentīna

Stabilitāti ietekmējoši faktori   Injekcija   Stabilitāti ietekmējoši faktori : Azacitidine        

  Mentions Légales