Letztes “update” :
18/03/2026
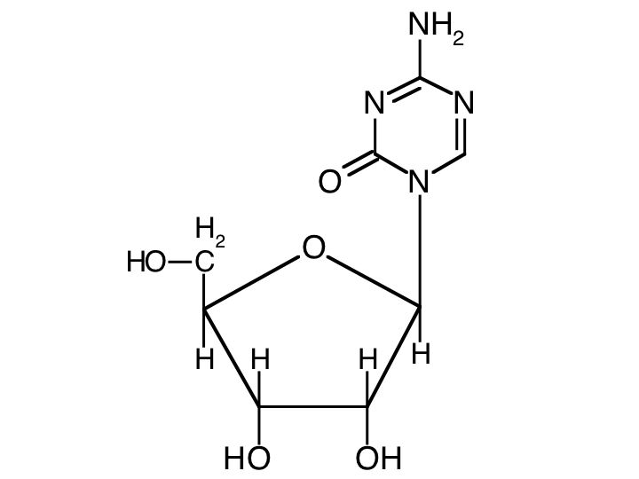
Antikrebsmittel   Azacitidine  
Injektion
Stabilität der Lösung Gemengestabilität Stabilitätbeeinflussende Faktoren Kompatibilitäten Applikationsart Literaturverzeichnis pdf
   Chemische Struktur  

Handelsmarke   Handelsmarke     

Handelsnamen sind als beispielhaft anzusehen. Sonstige Bestandteile können je nach Hersteller oder Land verschieden sein

Amilix Argentinien
Arquimes Argentinien
Azacimyl Chile
Azacitidina Argentinien, Chile, Peru
Azacitidine Deutschland, Vereinigte Staaten von Amerika
Azacor Peru
Azadin Türkei
Azamex Argentinien
Azanova Argentinien
Azateva Argentinien
Azida Türkei
Azitech Argentinien
Citofin Argentinien
Iclacitidina Peru
Iterbil Argentinien
Maturus Argentinien
Mietozitidina Argentinien, Peru
Nimodac Argentinien
Remitiva Chile
Tazadir Argentinien
Vidaza Argentinien, Australien, Belgien, Brasilien, Chile, Deutschland, Finnland, Frankreich, Großbritannien, Island, Italien, Japan, Kanada, Kolumbien, Kroatien, Luxemburg, Malaysia, Mexiko, Neuseeland, Norwegen, Peru, Rumänien, Schweden, Schweiz, Slowenien, Spanien, Tunesien, Türkei, Ungarn, Vereinigte Staaten von Amerika
Zacidonel Mexiko
Zylatadina Argentinien

Stabilitätbeeinflussende Faktoren   Injektion   Stabilitätbeeinflussende Faktoren : Azacitidine        

  Mentions Légales