Poslední aktualizace :
05/12/2025
rakovina drog   Azacitidine  
injekce
Stabilita roztoků Stabilita směsí Faktory ovlivňující stabilitu Kompatibilita Způsoby aplikace Odkazy pdf
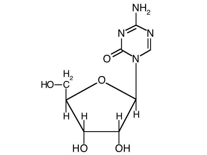
   Chemický vzorec  

Obchodní název   Obchodní název     

Trade names are indicative and excipients composition can be different depending on the country and manufacturers

Amilix Argentina
Arquimes Argentina
Azacimyl Chile
Azacitidina Argentina, Chile, Peru
Azacitidine NÏmecko, USA
Azacor Peru
Azadin Turecko
Azamex Argentina
Azanova Argentina
Azateva Argentina
Azida Turecko
Azitech Argentina
Citofin Argentina
Iclacitidina Peru
Iterbil Argentina
Maturus Argentina
Mietozitidina Argentina, Peru
Nimodac Argentina
Remitiva Chile
Tazadir Argentina
Vidaza äpanÏlsko, Argentina, Austrálie, Belgie, BrazÌlie, Chile, Chorvatsko, Finsko, Francie, Island, Itálie, Japonsko, Kanada, Kolumbie, Lucembursko, Malajsie, MaÔarsko, Mexiko, NÏmecko, Norsko, nový Zéland, Peru, Rumunsko, Slovinsko, Švédsko, Švýcarsko, Tunisko, Turecko, USA, Velká Británie
Zacidonel Mexiko
Zylatadina Argentina

Faktory ovlivňující stabilitu   injekce   Faktory ovlivňující stabilitu : Azacitidine        

  Mentions Légales