Seneste opdatering :
05/12/2025
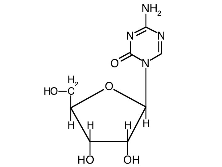
anticancer medicin   Azacitidine  
Injektion
Stabilitet i (vandige) opløsninger Stabilitet i blandinger Faktorer der påvirker stabiliteten Kompatibilitet Administrationsvej Bibliografi pdf
   Kemisk struktur  

Handelsnavn   Handelsnavn     

Handel navne er vejledende og hjælpestoffer sammensætning kan være forskellig afhængigt af landet og laboratorier

Amilix Argentina
Arquimes Argentina
Azacimyl Chile
Azacitidina Argentina, Chile, Marokko
Azacitidine Tyskland, USA
Azacor Marokko
Azadin Tyrkiet
Azamex Argentina
Azanova Argentina
Azateva Argentina
Azida Tyrkiet
Azitech Argentina
Citofin Argentina
Iclacitidina Marokko
Iterbil Argentina
Maturus Argentina
Mietozitidina Argentina, Marokko
Nimodac Argentina
Remitiva Chile
Tazadir Argentina
Vidaza Argentina, Australien, Belgien, Brasilien, Canada, Chile, Colombia, Finland, Frankrig, Island, Italien, Japan, Kroatien, Luxemborg, Malaysia, Marokko, Mexico, New Zealand, Norge, Rumænien, Schweiz, Slovenien, Spanien, Storbritanien, Sverige, Tunesien, Tyrkiet, Tyskland, Ungarn, USA
Zacidonel Mexico
Zylatadina Argentina

Faktorer der påvirker stabiliteten   Injektion   Faktorer der påvirker stabiliteten : Azacitidine        

  Mentions Légales