آخر تحديث :
18/03/2026
المضادة للسرطان المخدرات   Azacitidine  
حقن
الاستقرار في حلول استقرار مخاليط العوامل التي تؤثر على الاستقرار التوافق طريقة التعاطي مراجع pdf
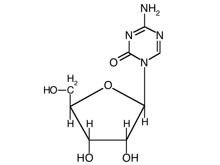
   التركيب الكيميائي  

حجز الاسم التجاري   حجز الاسم التجاري     

تحذير الأسماء التجاريه المختلفه قد تحتوي علي محتوي إضافات مختلفة حسب الدوله و المعمل

Amilix الأرجنتين
Arquimes الأرجنتين
Azacimyl تشيلي
Azacitidina الأرجنتين, بيرو, تشيلي
Azacitidine ألمانيا, الولايات المتحدة
Azacor بيرو
Azadin تركيا
Azamex الأرجنتين
Azanova الأرجنتين
Azateva الأرجنتين
Azida تركيا
Azitech الأرجنتين
Citofin الأرجنتين
Iclacitidina بيرو
Iterbil الأرجنتين
Maturus الأرجنتين
Mietozitidina الأرجنتين, بيرو
Nimodac الأرجنتين
Remitiva تشيلي
Tazadir الأرجنتين
Vidaza أستراليا, ألمانيا, أيسلندا, إسبانيا, إيطاليا, الأرجنتين, البرازيل, السويد, المكسيك, النرويج, الولايات المتحدة, اليابان, بريطانيا العظمي, بلجيكا, بيرو, تركيا, تشيلي, تونس, رومانيا, زيلاندا الجديدة, سلوفينيا, سويسرا, فرنسا, فنلندا, كرواتيا, كندا, كولومبيا, لوكسمبورغ, ماليزيا, هنغاريا
Zacidonel المكسيك
Zylatadina الأرجنتين

العوامل التي تؤثر على الاستقرار   حقن   العوامل التي تؤثر على الاستقرار : Azacitidine        

  Mentions Légales