Последно актуализиране :
05/12/2025
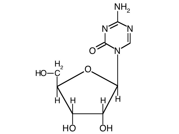
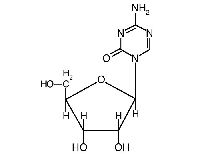
противораково лекарство   Azacitidine  
Инжекция/Инжекционен
Стабилност на разтвори Стабилност на смеси Фактори, повлияващи стабилността Съвместимост Път на въвеждане Библиография Pdf
   Химична структура  

Търговско наименование   Търговско наименование     

Търговските имена са примерни и съставът на помощните вещества може да бъде различен в зависимост от държавата и лабораториите

Amilix Аржентина
Arquimes Аржентина
Azacimyl Чили
Azacitidina Аржентина, Перу, Чили
Azacitidine Германия, Съединени Американски щати / САЩ
Azacor Перу
Azadin Турция
Azamex Аржентина
Azanova Аржентина
Azateva Аржентина
Azida Турция
Azitech Аржентина
Citofin Аржентина
Iclacitidina Перу
Iterbil Аржентина
Maturus Аржентина
Mietozitidina Аржентина, Перу
Nimodac Аржентина
Remitiva Чили
Tazadir Аржентина
Vidaza Австралия, Аржентина, Белгия, Бразилия, Великобритания, Германия, Исландия, Испания, Италия, Канада, Колумбия, Люксенбург, Малайзия, Мексико, нова Зеландия, Норвегия, Перу, Румъния, Словения, Съединени Американски щати / САЩ, Тунис, Турция, Унгария, Финландия, Франция, Хърватия, Чили, Швейцария, Швеция, Япония
Zacidonel Мексико
Zylatadina Аржентина

Фактори, повлияващи стабилността   Инжекция/Инжекционен   Фактори, повлияващи стабилността : Azacitidine        

  Mentions Légales