Posledná aktualizácia :
18/03/2026
antibiotikum   Colistin mesilate sodium  
Injekcia
Aerosól
Stabilita roztokov Stabilita v zmesiach Faktory ovplyvňujúce stabilitu Kompatibility spôsob podania Odkazy na literatúru PDF
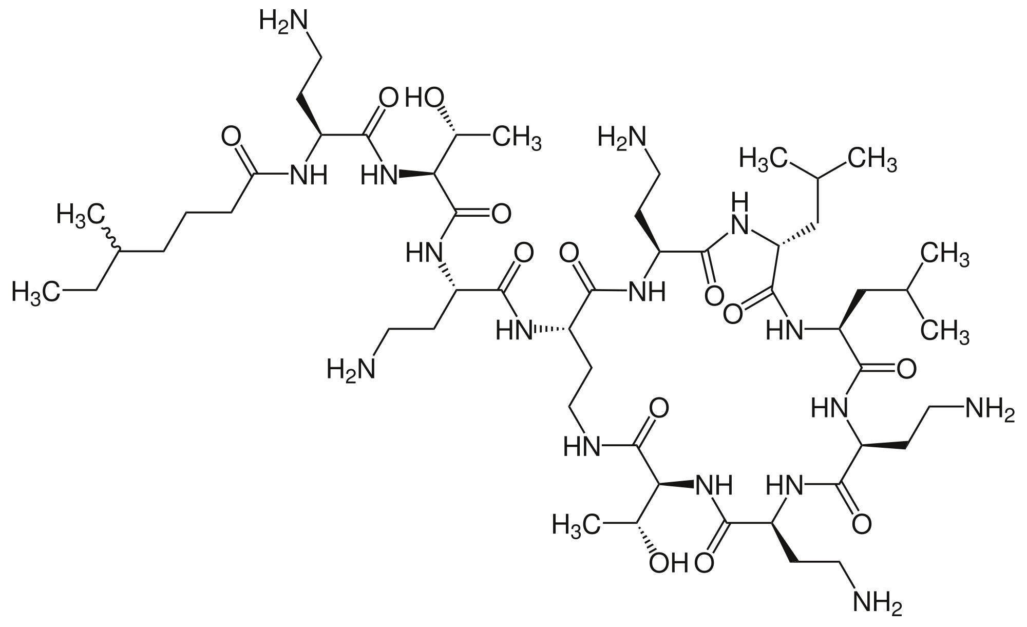
   Chemický vzorec  

Obchodný názov   Obchodný názov     

Obchodné názvy sú orientačné, a zloženie pomocných látok sa môže líšiť v závislosti od krajiny a výrobcu.

Alficetin Argentína
Colimicina Taliansko
Colimycin Dánsko, Nórsko, Turecko
Colimycine Francúzsko, Holandsko, Luxembursko, Maroko, Tunisko
Colismet peru
Colistimethate Francúzsko, Kanada, Spojené štáty Americké, Veľká Británia
Colistin Grécko, Nemecko, nový Zéland, Poľsko, Rakúsko
Colistina Argentína, Čile, Portugalsko
Colistineb Belgicko
Colistyn Argentína
Colixin Slovinsko
Colomycin Írsko, Kanada, Malajzia, Spojené štáty Americké, Veľká Británia
Dicupal Čile
Elistin peru
Kolisod Turecko
Nolisin
Promixin Írsko, Nemecko, Nórsko, Veľká Británia
Toliscrin Argentína
Stabilita roztokov   Injekcia   Stabilita roztokov : Colistin mesilate sodium     
obal rozpúšťadlo koncentrácia teplota uchovávanie Trvanie stability odkazy na lieteratúru
Sklo voda na injekciu 200 mg/ml 25°C Chránené pred svetlom
7 dní
2285
Úroveň dôkazov D

Sklo voda na injekciu 200 mg/ml 4°C Chránené pred svetlom
7 dní
2285
Úroveň dôkazov D

Sklo voda na injekciu 75 mg/ml -20°C Chránené pred svetlom
24 hodín
3360
Úroveň dôkazov B

Sklo voda na injekciu 75 mg/ml 21°C nešpecifikované
24 hodín
3360
Úroveň dôkazov B

Sklo voda na injekciu 75 mg/ml 4°C nešpecifikované
24 hodín
3360
Úroveň dôkazov B

polyvinylchlorid (PVC) 0,9% chlorid sodný 4 mg/ml 4°C Chránené pred svetlom
48 hodín
2285
Úroveň dôkazov D

polyvinylchlorid (PVC) 5% glukóza 4 mg/ml 4°C Chránené pred svetlom
48 hodín
2285
Úroveň dôkazov D

polyolefín 0,9% chlorid sodný 1,6 mg/ml 2-8°C Chránené pred svetlom
7 dní
4178
Úroveň dôkazov B

polyolefín 0,9% chlorid sodný 1,6 mg/ml 20-24°C Za svetla alebo chránené pred svetlom
1 dní
4178
Úroveň dôkazov B

Polyizoprénový elastomer 0,9% chlorid sodný 0,8 & 2,4 mg/ml 2-8°C Chránené pred svetlom
7 dní
4178
Úroveň dôkazov B

Polyizoprénový elastomer 0,9% chlorid sodný 0,8 & 2,4 mg/ml 20-24°C Za svetla alebo chránené pred svetlom
1 dní
4178
Úroveň dôkazov B

Silikónový elastomer 0,9% chlorid sodný 0,8 mg/ml 4°C nešpecifikované
3 dní
2783
Úroveň dôkazov A


  Mentions Légales