Letztes “update” :
18/03/2026
Antibiotikum   Colistin mesilate sodium  
Injektion
Aerosol
Stabilität der Lösung Gemengestabilität Stabilitätbeeinflussende Faktoren Kompatibilitäten Applikationsart Literaturverzeichnis pdf
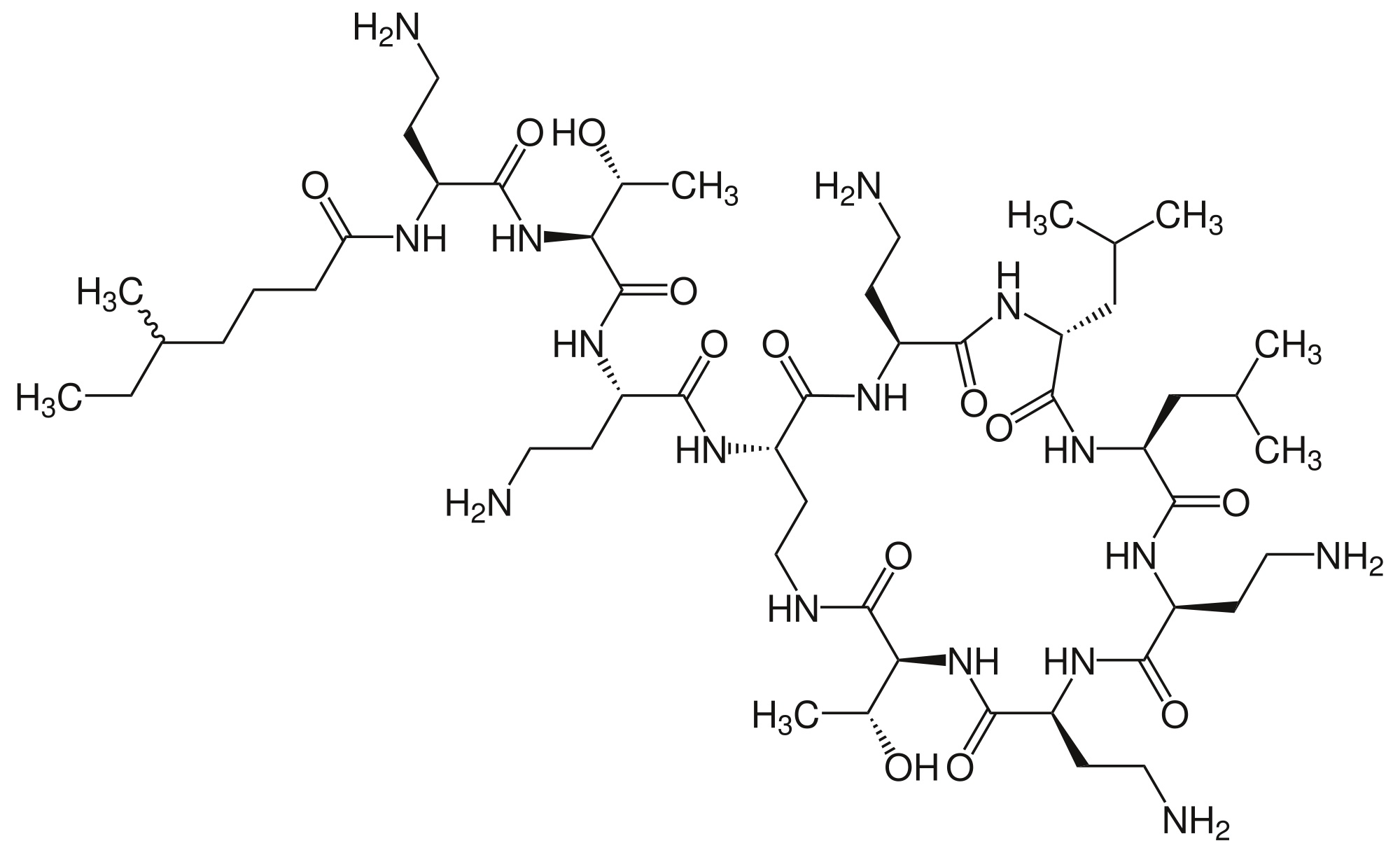
   Chemische Struktur  

Handelsmarke   Handelsmarke     

Handelsnamen sind als beispielhaft anzusehen. Sonstige Bestandteile können je nach Hersteller oder Land verschieden sein

Alficetin Argentinien
Colimicina Italien
Colimycin Dänemark, Norwegen, Türkei
Colimycine Frankreich, Luxemburg, Marokko, Niederlande, Tunesien
Colismet Peru
Colistimethate Frankreich, Großbritannien, Kanada, Vereinigte Staaten von Amerika
Colistin Deutschland, Griechenland, Neuseeland, Österreich, Polen
Colistina Argentinien, Chile, Portugal
Colistineb Belgien
Colistyn Argentinien
Colixin Slowenien
Colomycin Großbritannien, Irland, Kanada, Malaysia, Vereinigte Staaten von Amerika
Dicupal Chile
Elistin Peru
Kolisod Türkei
Nolisin
Promixin Deutschland, Großbritannien, Irland, Norwegen
Toliscrin Argentinien
Stabilität der Lösung   Injektion   Stabilität der Lösung : Colistin mesilate sodium     
Behälter Lösungsmittel Konzentration Temperatur Konservierung Dauer der Stabilität Literaturverzeichnis
Glas Wasser für injektable präparate 200 mg/ml 25°C Ohne Licht
7 Tag
2285
Evidenzgrad D

Glas Wasser für injektable präparate 200 mg/ml 4°C Ohne Licht
7 Tag
2285
Evidenzgrad D

Glas Wasser für injektable präparate 75 mg/ml -20°C Ohne Licht
24 Stunde
3360
Evidenzgrad B

Glas Wasser für injektable präparate 75 mg/ml 21°C Nicht genau angegeben
24 Stunde
3360
Evidenzgrad B

Glas Wasser für injektable präparate 75 mg/ml 4°C Nicht genau angegeben
24 Stunde
3360
Evidenzgrad B

Polyvinylchlorid 0,9% Natriumchlorid 4 mg/ml 4°C Ohne Licht
48 Stunde
2285
Evidenzgrad D

Polyvinylchlorid 5% Glucose 4 mg/ml 4°C Ohne Licht
48 Stunde
2285
Evidenzgrad D

Polyolefin 0,9% Natriumchlorid 1,6 mg/ml 2-8°C Ohne Licht
7 Tag
4178
Evidenzgrad B

Polyolefin 0,9% Natriumchlorid 1,6 mg/ml 20-24°C Mit oder ohne Licht
1 Tag
4178
Evidenzgrad B

Polyisoprenelastomer 0,9% Natriumchlorid 0,8 & 2,4 mg/ml 2-8°C Ohne Licht
7 Tag
4178
Evidenzgrad B

Polyisoprenelastomer 0,9% Natriumchlorid 0,8 & 2,4 mg/ml 20-24°C Mit oder ohne Licht
1 Tag
4178
Evidenzgrad B

Silikonelastomer 0,9% Natriumchlorid 0,8 mg/ml 4°C Nicht genau angegeben
3 Tag
2783
Evidenzgrad A


  Mentions Légales