Última actualização :
18/03/2026
antibiótico   Colistin mesilate sodium  
injetável
aerossol
Estabilidade em soluções simples Estabilidade em misturas Factores que afectam a sua estabilidade Compatibilidade Método de administração Bibliografía pdf
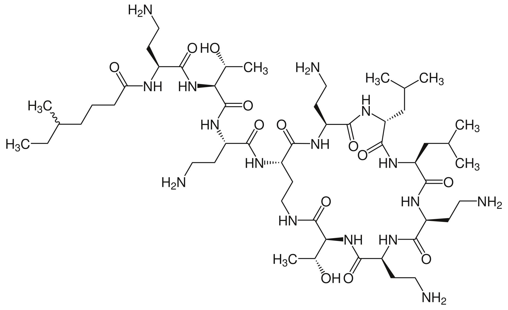
   estrutura química  

Nomes comerciais nos diversos países   Nomes comerciais nos diversos países     

OS NOMES COMERCIAIS SÃO INDICATIVOS E OS EXCIPIENTES DA FORMULAÇÃO PODEM SER DIFERENTES CONFORME O PAÍS E FABRICANTE.

Alficetin Argentina
Colimicina Itália
Colimycin Dinamarca, Noruega, Turquia
Colimycine França, Luxemburgo, Marrocos, Países Baixos, Tunísia
Colismet Peru
Colistimethate Canadá, Estados Unidos de América, França, Gran-bretanha
Colistin Alemanha, Austria, Grècia, nova Zelândia, Polonia
Colistina Argentina, Chilli, Portugal
Colistineb Bélgica
Colistyn Argentina
Colixin Eslovenia
Colomycin Canadá, Estados Unidos de América, Gran-bretanha, Irlanda, Malásia
Dicupal Chilli
Elistin Peru
Kolisod Turquia
Nolisin
Promixin Alemanha, Gran-bretanha, Irlanda, Noruega
Toliscrin Argentina
Estabilidade em soluções simples   injetável   Estabilidade em soluções simples : Colistin mesilate sodium     
Embalagem Solvente concentração temperatura conservação Duração da estabilidade Bibliografia
vidro Agua para injectaveis 200 mg/ml 25°C ao abrigo da luz
7 dia
2285
Nível de evidência D

vidro Agua para injectaveis 200 mg/ml 4°C ao abrigo da luz
7 dia
2285
Nível de evidência D

vidro Agua para injectaveis 75 mg/ml -20°C ao abrigo da luz
24 hora
3360
Nível de evidência B

vidro Agua para injectaveis 75 mg/ml 21°C no especificado
24 hora
3360
Nível de evidência B

vidro Agua para injectaveis 75 mg/ml 4°C no especificado
24 hora
3360
Nível de evidência B

Cloreto de polivinilo cloreto de sódio 0,9% 4 mg/ml 4°C ao abrigo da luz
48 hora
2285
Nível de evidência D

Cloreto de polivinilo Glucose 5% 4 mg/ml 4°C ao abrigo da luz
48 hora
2285
Nível de evidência D

Poliolefina cloreto de sódio 0,9% 1,6 mg/ml 2-8°C ao abrigo da luz
7 dia
4178
Nível de evidência B

Poliolefina cloreto de sódio 0,9% 1,6 mg/ml 20-24°C Com ou sem luz
1 dia
4178
Nível de evidência B

Elastômero de poliisopreno cloreto de sódio 0,9% 0,8 & 2,4 mg/ml 2-8°C ao abrigo da luz
7 dia
4178
Nível de evidência B

Elastômero de poliisopreno cloreto de sódio 0,9% 0,8 & 2,4 mg/ml 20-24°C Com ou sem luz
1 dia
4178
Nível de evidência B

Elastômero de silicone cloreto de sódio 0,9% 0,8 mg/ml 4°C no especificado
3 dia
2783
Nível de evidência A


  Mentions Légales