Viimeisin päivitys :
18/03/2026
Antibiootit   Colistin mesilate sodium  
Injektioneste
Aerosoli
Stabilius liuoksessa Stabilius seoksissa Tekijät, jotka vaikuttavat stabiliuteen Yhteensopivuus Antotapa Viitteet pdf
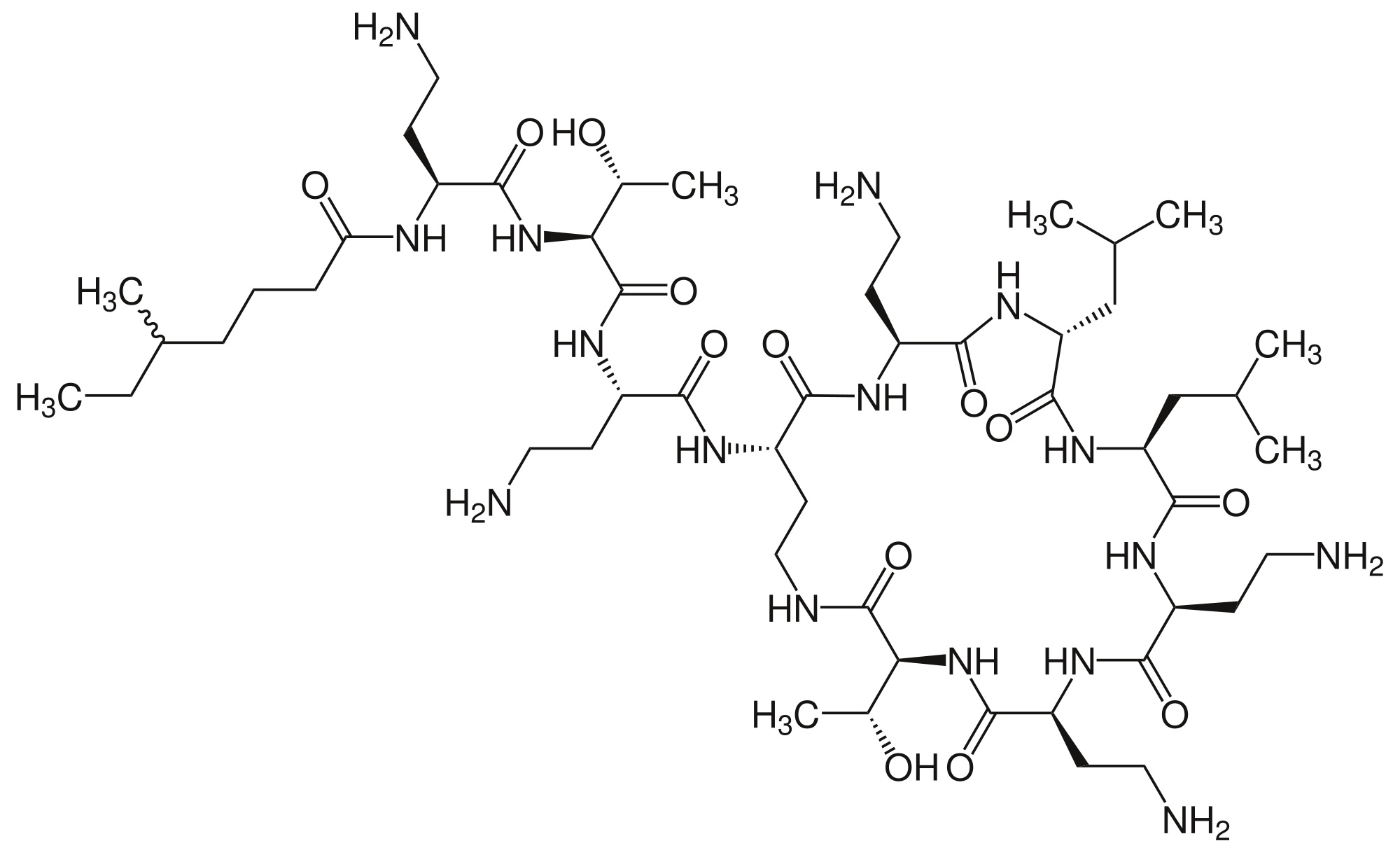
   Kemiallinen rakenne  

Kauppanimi   Kauppanimi     

Trade names are indicative and excipients composition can be different depending on the country and manufacturers

Alficetin Argentiina
Colimicina Italia
Colimycin Norja, Tanska, Turkki
Colimycine Hollanti, Luxemburg, Marokko, Ranska, Tunisia
Colismet Marokko
Colistimethate Iso-Britannia, Kanada, Ranska, Yhdysvallat
Colistin Itävalta, Kreikka, New Zealand, Puola, Saksa
Colistina Argentiina, Chile, Portugali
Colistineb Belgia
Colistyn Argentiina
Colixin Slovenia
Colomycin Irlanti, Iso-Britannia, Kanada, Malesia, Yhdysvallat
Dicupal Chile
Elistin Marokko
Kolisod Turkki
Nolisin
Promixin Irlanti, Iso-Britannia, Norja, Saksa
Toliscrin Argentiina
Stabilius liuoksessa   Injektioneste   Stabilius liuoksessa : Colistin mesilate sodium     
Astia Liuotin Konsentraatio Lämpötila Säilytys Vakauden kesto Viitteet
Lasi Injektionesteisiin käytettävä vesi 200 mg/ml 25°C Suojattava valolta
7 Päivä
2285
Näytön laajuus D

Lasi Injektionesteisiin käytettävä vesi 200 mg/ml 4°C Suojattava valolta
7 Päivä
2285
Näytön laajuus D

Lasi Injektionesteisiin käytettävä vesi 75 mg/ml -20°C Suojattava valolta
24 tunti
3360
Näytön laajuus B

Lasi Injektionesteisiin käytettävä vesi 75 mg/ml 21°C Ei määritetty
24 tunti
3360
Näytön laajuus B

Lasi Injektionesteisiin käytettävä vesi 75 mg/ml 4°C Ei määritetty
24 tunti
3360
Näytön laajuus B

Polyvinyylikloridi Natriumkloridi 0,9% 4 mg/ml 4°C Suojattava valolta
48 tunti
2285
Näytön laajuus D

Polyvinyylikloridi Glukoosi 5% 4 mg/ml 4°C Suojattava valolta
48 tunti
2285
Näytön laajuus D

Polyolefiini Natriumkloridi 0,9% 1,6 mg/ml 2-8°C Suojattava valolta
7 Päivä
4178
Näytön laajuus B

Polyolefiini Natriumkloridi 0,9% 1,6 mg/ml 20-24°C Valossa tai suojassa valolta
1 Päivä
4178
Näytön laajuus B

Polyisopreeni elastomeeri Natriumkloridi 0,9% 0,8 & 2,4 mg/ml 2-8°C Suojattava valolta
7 Päivä
4178
Näytön laajuus B

Polyisopreeni elastomeeri Natriumkloridi 0,9% 0,8 & 2,4 mg/ml 20-24°C Valossa tai suojassa valolta
1 Päivä
4178
Näytön laajuus B

Silikoni elastomeeri Natriumkloridi 0,9% 0,8 mg/ml 4°C Ei määritetty
3 Päivä
2783
Näytön laajuus A


  Mentions Légales