Last update :
18/03/2026
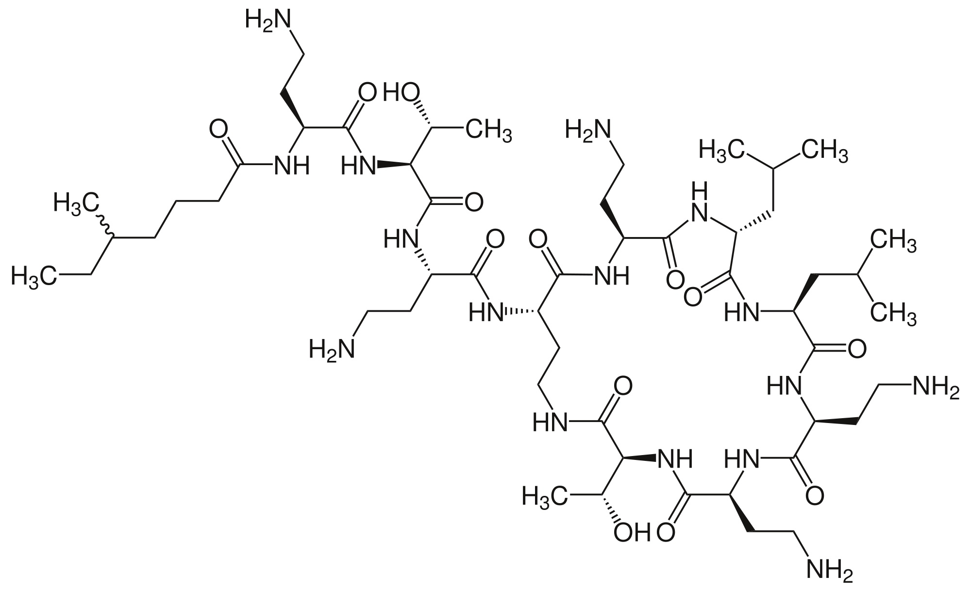
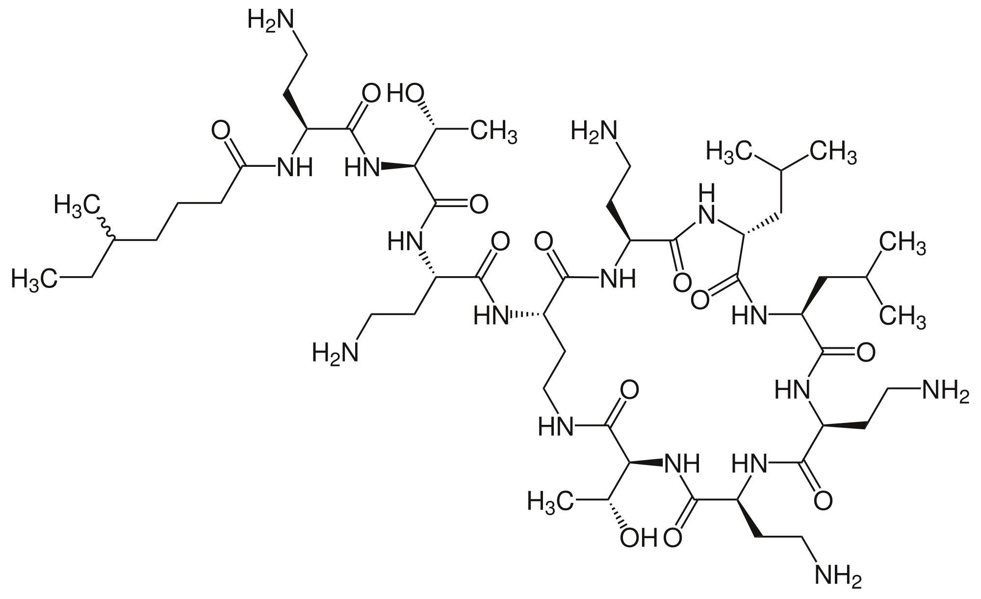
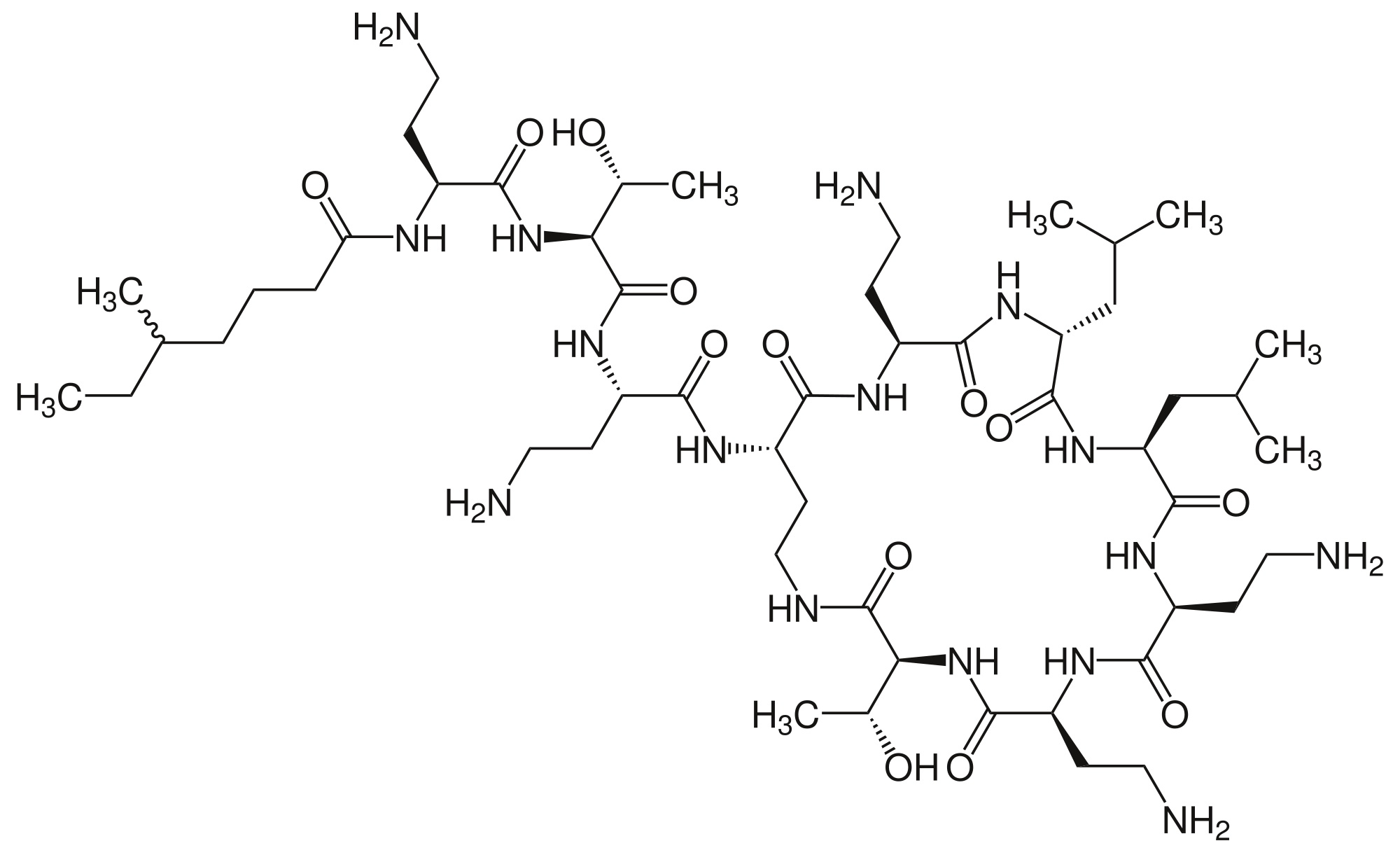
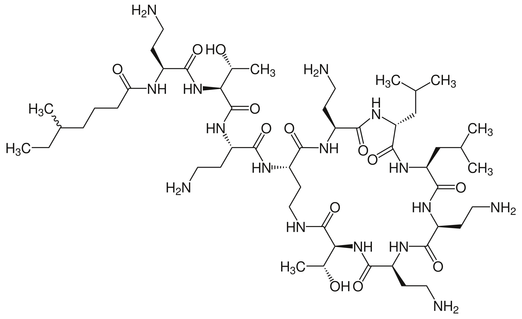
Antibiotic   Colistin mesilate sodium  
injection
aerosol
Stability in solutions Stability of mixtures Factors which affect stability Compatibility Route of administration References pdf
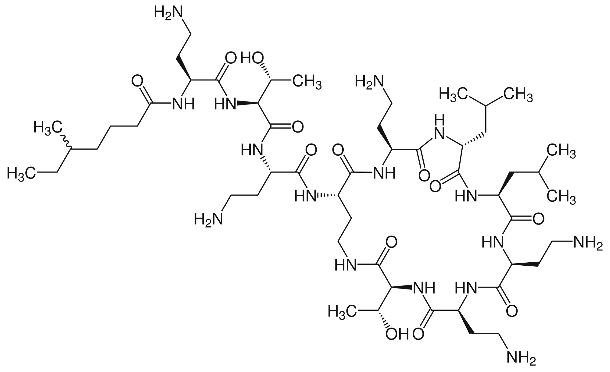
   Chemical structure  

Tradename   Tradename     

Trade names are indicative and excipients composition can be different depending on the country and manufacturers

Alficetin Argentina
Colimicina Italy
Colimycin Denmark, Norway, Turkey
Colimycine France, Luxembourg, Morocco, Netherlands, Tunisia
Colismet Peru
Colistimethate Canada, France, Great Britain, United States of America
Colistin Austria, Germany, Greece, New Zealand, Poland
Colistina Argentina, Chile, Portugal
Colistineb Belgium
Colistyn Argentina
Colixin Slovenia
Colomycin Canada, Great Britain, Ireland, Malaysia, United States of America
Dicupal Chile
Elistin Peru
Kolisod Turkey
Nolisin
Promixin Germany, Great Britain, Ireland, Norway
Toliscrin Argentina
Stability in solutions   injection   Stability in solutions : Colistin mesilate sodium     
Container Solvent Concentration Temperature Storage Duration of stability References
Glass Water for Injection 200 mg/ml 25°C Protect from light
7 Day
2285
Level of evidence D

Glass Water for Injection 200 mg/ml 4°C Protect from light
7 Day
2285
Level of evidence D

Glass Water for Injection 75 mg/ml -20°C Protect from light
24 Hour
3360
Level of evidence B

Glass Water for Injection 75 mg/ml 21°C Not specified
24 Hour
3360
Level of evidence B

Glass Water for Injection 75 mg/ml 4°C Not specified
24 Hour
3360
Level of evidence B

Polyvinyl chloride Sodium chloride 0,9% 4 mg/ml 4°C Protect from light
48 Hour
2285
Level of evidence D

Polyvinyl chloride Glucose 5% 4 mg/ml 4°C Protect from light
48 Hour
2285
Level of evidence D

Polyolefine Sodium chloride 0,9% 1,6 mg/ml 2-8°C Protect from light
7 Day
4178
Level of evidence B

Polyolefine Sodium chloride 0,9% 1,6 mg/ml 20-24°C With or without light
1 Day
4178
Level of evidence B

Polyisoprene elastomer Sodium chloride 0,9% 0,8 & 2,4 mg/ml 2-8°C Protect from light
7 Day
4178
Level of evidence B

Polyisoprene elastomer Sodium chloride 0,9% 0,8 & 2,4 mg/ml 20-24°C With or without light
1 Day
4178
Level of evidence B

Silicone elastomer Sodium chloride 0,9% 0,8 mg/ml 4°C Not specified
3 Day
2783
Level of evidence A


  Mentions Légales