Ultimele actualizari :
18/03/2026
Antibiotic   Colistin mesilate sodium  
Injectabil
Aerosol
Stabilitatea in solutie Stabilitatea in amestec Factorii care influenteaza stabilitatea Compatibilitate Microunde Bibliografie pdf
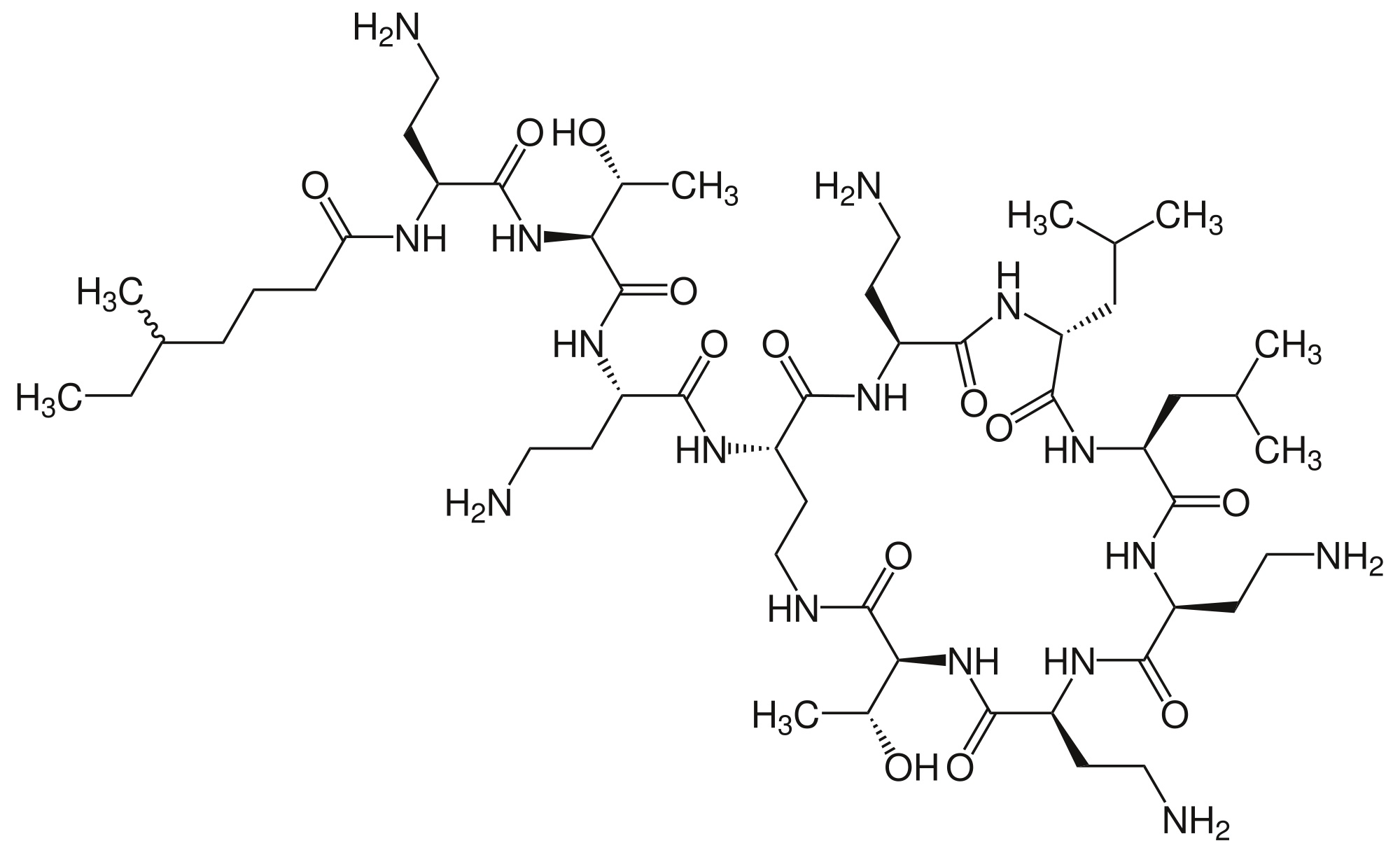
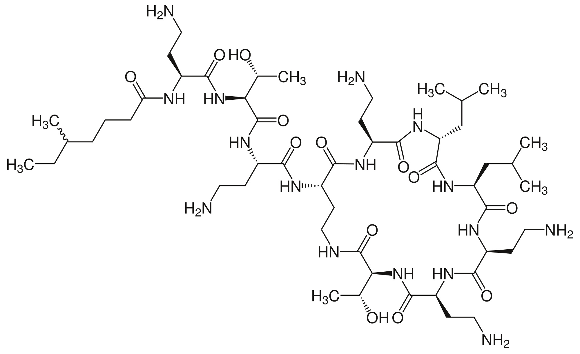
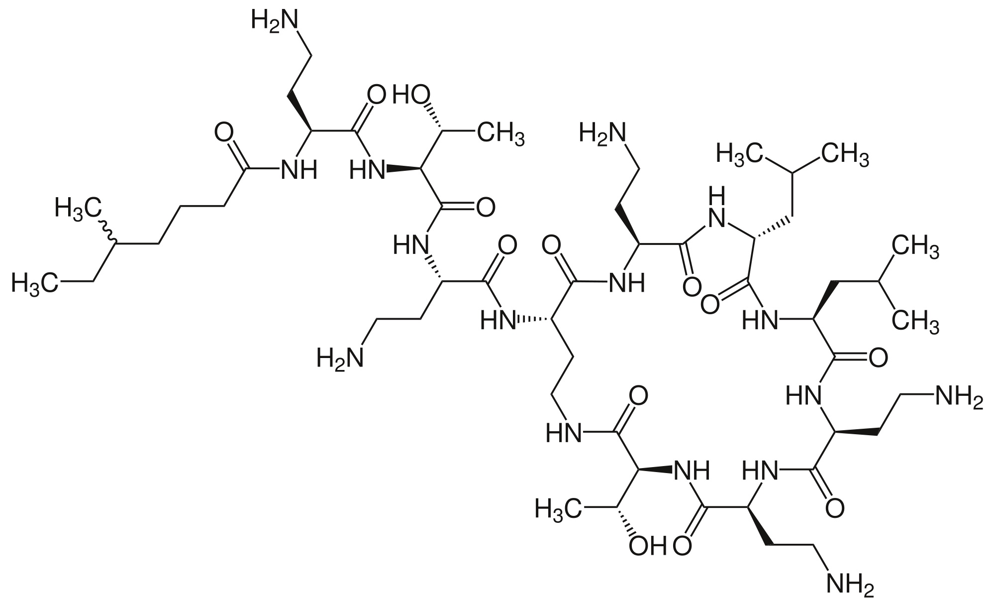
   Formula chimica  

Denumirea comerciala   Denumirea comerciala     

Trade names are indicative and excipients composition can be different depending on the country and manufacturers

Alficetin Argentina
Colimicina Italia
Colimycin Danemarca, Norvegia, Turcia
Colimycine Franta, Luxemburg, Maroc, Olanda, Tunisia
Colismet Peru
Colistimethate Canada, Franta, Marea Britanie, SUA
Colistin Austria, Germania, Grecia, noua Zeelandă, Polonia
Colistina Argentina, Chilli, Portugalia
Colistineb Belgia
Colistyn Argentina
Colixin Slovenia
Colomycin Canada, Irlanda, Malaezia, Marea Britanie, SUA
Dicupal Chilli
Elistin Peru
Kolisod Turcia
Nolisin
Promixin Germania, Irlanda, Marea Britanie, Norvegia
Toliscrin Argentina
Stabilitatea in solutie   Injectabil   Stabilitatea in solutie : Colistin mesilate sodium     
Continut Solvent Concentratie Temperatura Conservare Durata stabilității Bibiografie
sticla apa pentru preparate injectabile 200 mg/ml 25°C Ferit de lumina
7 Ziua
2285
Nivel de evidență D

sticla apa pentru preparate injectabile 200 mg/ml 4°C Ferit de lumina
7 Ziua
2285
Nivel de evidență D

sticla apa pentru preparate injectabile 75 mg/ml -20°C Ferit de lumina
24 Ora
3360
Nivel de evidență B

sticla apa pentru preparate injectabile 75 mg/ml 21°C Neprecizat
24 Ora
3360
Nivel de evidență B

sticla apa pentru preparate injectabile 75 mg/ml 4°C Neprecizat
24 Ora
3360
Nivel de evidență B

clorura de polivinil clorura de sodiu 0,9% 4 mg/ml 4°C Ferit de lumina
48 Ora
2285
Nivel de evidență D

clorura de polivinil Glucoza 5% 4 mg/ml 4°C Ferit de lumina
48 Ora
2285
Nivel de evidență D

poliolefine clorura de sodiu 0,9% 1,6 mg/ml 2-8°C Ferit de lumina
7 Ziua
4178
Nivel de evidență B

poliolefine clorura de sodiu 0,9% 1,6 mg/ml 20-24°C In prezenta sau absenta luminii
1 Ziua
4178
Nivel de evidență B

Elastomer poliizoprenic clorura de sodiu 0,9% 0,8 & 2,4 mg/ml 2-8°C Ferit de lumina
7 Ziua
4178
Nivel de evidență B

Elastomer poliizoprenic clorura de sodiu 0,9% 0,8 & 2,4 mg/ml 20-24°C In prezenta sau absenta luminii
1 Ziua
4178
Nivel de evidență B

Elastomer siliconic clorura de sodiu 0,9% 0,8 mg/ml 4°C Neprecizat
3 Ziua
2783
Nivel de evidență A


  Mentions Légales