Pēdējā atjaunošana :
18/03/2026
Antibiotika   Colistin mesilate sodium  
Injekcija
Aerosols
Šķīduma stabilitāte Maisījuma stabilitāte Stabilitāti ietekmējoši faktori Saderība Levadīšanas veids Literatūras saraksts pdf
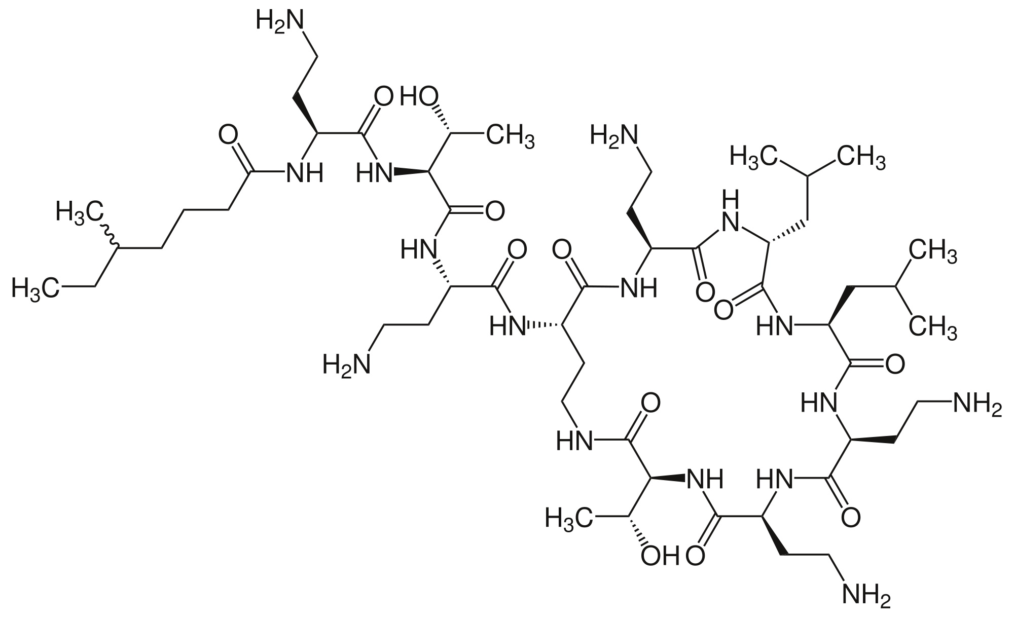
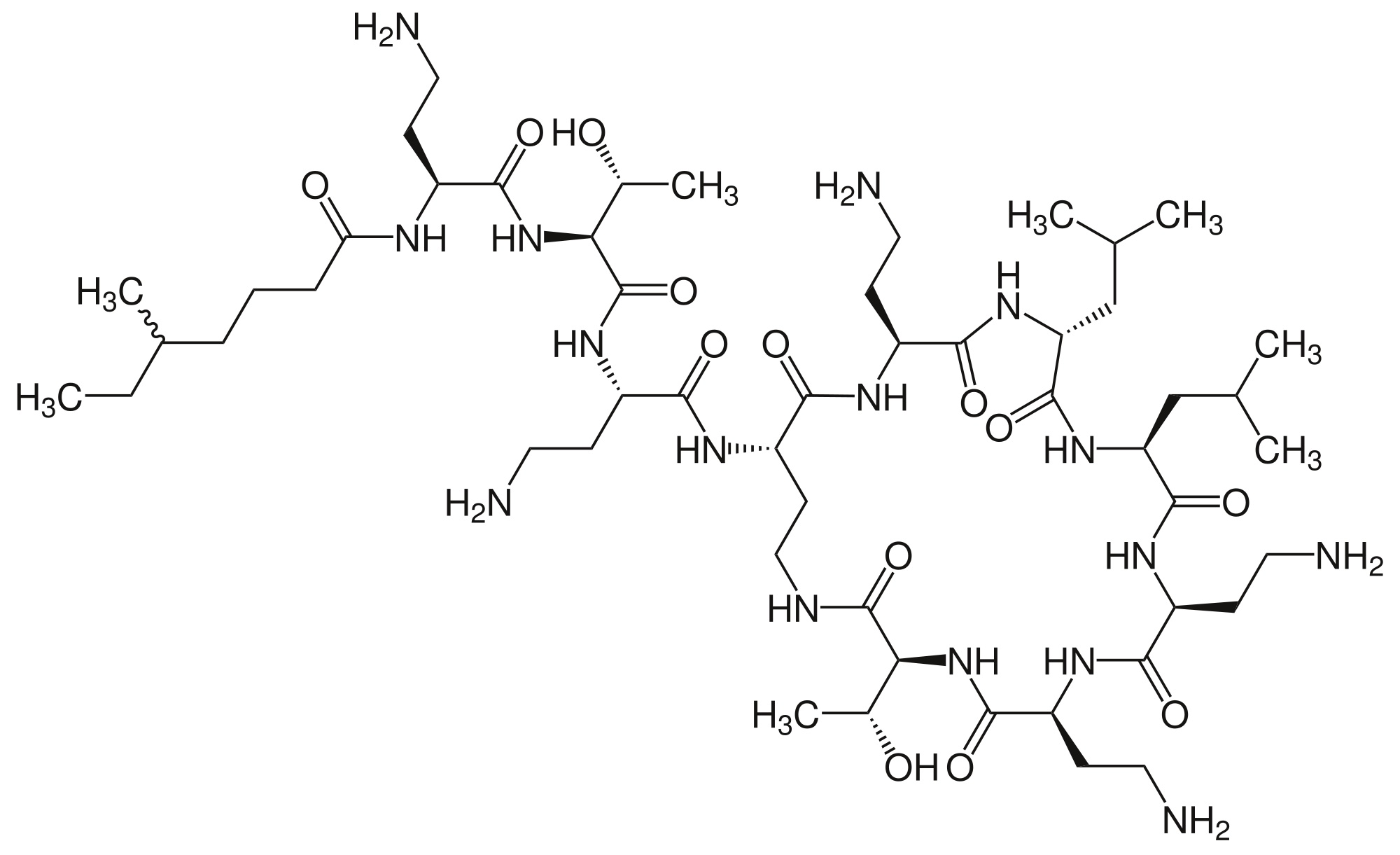
   Ķīmiskā uzbūve   

Oriģinālais nosaukums   Oriģinālais nosaukums     

Tirdzniecības nosaukumi ir apzīmējoši un palīgvielas var atšķirties dažādām valstīm un laboratorijām

Alficetin Argentīna
Colimicina Itālija
Colimycin Dānija, Norvēģija, Turcija
Colimycine Francija, Holande, Luksemburga, Maroka, Tunisija
Colismet Peru
Colistimethate Amerikas Savienotās Valstis, Francija, Kanāda, Lielbritānija
Colistin Austrija, Grieķija, Jaunzēlande, Polija, Vācija
Colistina Argentīna, Čīle, Portugāle
Colistineb Beļģija
Colistyn Argentīna
Colixin Slovēnija
Colomycin Amerikas Savienotās Valstis, Īrija, Kanāda, Lielbritānija, Malaizija
Dicupal Čīle
Elistin Peru
Kolisod Turcija
Nolisin
Promixin Īrija, Lielbritānija, Norvēģija, Vācija
Toliscrin Argentīna
Šķīduma stabilitāte   Injekcija   Šķīduma stabilitāte : Colistin mesilate sodium     
Iepakojums Šķīdinātājs Koncentrācija Temperatūra Glabāšana Stabilitātes ilgums Literatūras saraksts
Stikls Ūdens injekcijām 200 mg/ml 25°C Aizsargāt no gaismas
7 Diena
2285
Pierādījumu līmenis D

Stikls Ūdens injekcijām 200 mg/ml 4°C Aizsargāt no gaismas
7 Diena
2285
Pierādījumu līmenis D

Stikls Ūdens injekcijām 75 mg/ml -20°C Aizsargāt no gaismas
24 Stunda
3360
Pierādījumu līmenis B

Stikls Ūdens injekcijām 75 mg/ml 21°C Nav specifisks
24 Stunda
3360
Pierādījumu līmenis B

Stikls Ūdens injekcijām 75 mg/ml 4°C Nav specifisks
24 Stunda
3360
Pierādījumu līmenis B

Polivinilhlorīds Nātrija hlorīds 0.9% 4 mg/ml 4°C Aizsargāt no gaismas
48 Stunda
2285
Pierādījumu līmenis D

Polivinilhlorīds 5% glikoze 4 mg/ml 4°C Aizsargāt no gaismas
48 Stunda
2285
Pierādījumu līmenis D

Poliolefīns Nātrija hlorīds 0.9% 1,6 mg/ml 2-8°C Aizsargāt no gaismas
7 Diena
4178
Pierādījumu līmenis B

Poliolefīns Nātrija hlorīds 0.9% 1,6 mg/ml 20-24°C Ar vai bez gaismas
1 Diena
4178
Pierādījumu līmenis B

Poliizoprēna elastomērs Nātrija hlorīds 0.9% 0,8 & 2,4 mg/ml 2-8°C Aizsargāt no gaismas
7 Diena
4178
Pierādījumu līmenis B

Poliizoprēna elastomērs Nātrija hlorīds 0.9% 0,8 & 2,4 mg/ml 20-24°C Ar vai bez gaismas
1 Diena
4178
Pierādījumu līmenis B

Silikona elastomērs Nātrija hlorīds 0.9% 0,8 mg/ml 4°C Nav specifisks
3 Diena
2783
Pierādījumu līmenis A


  Mentions Légales