Son güncelleme :
18/03/2026
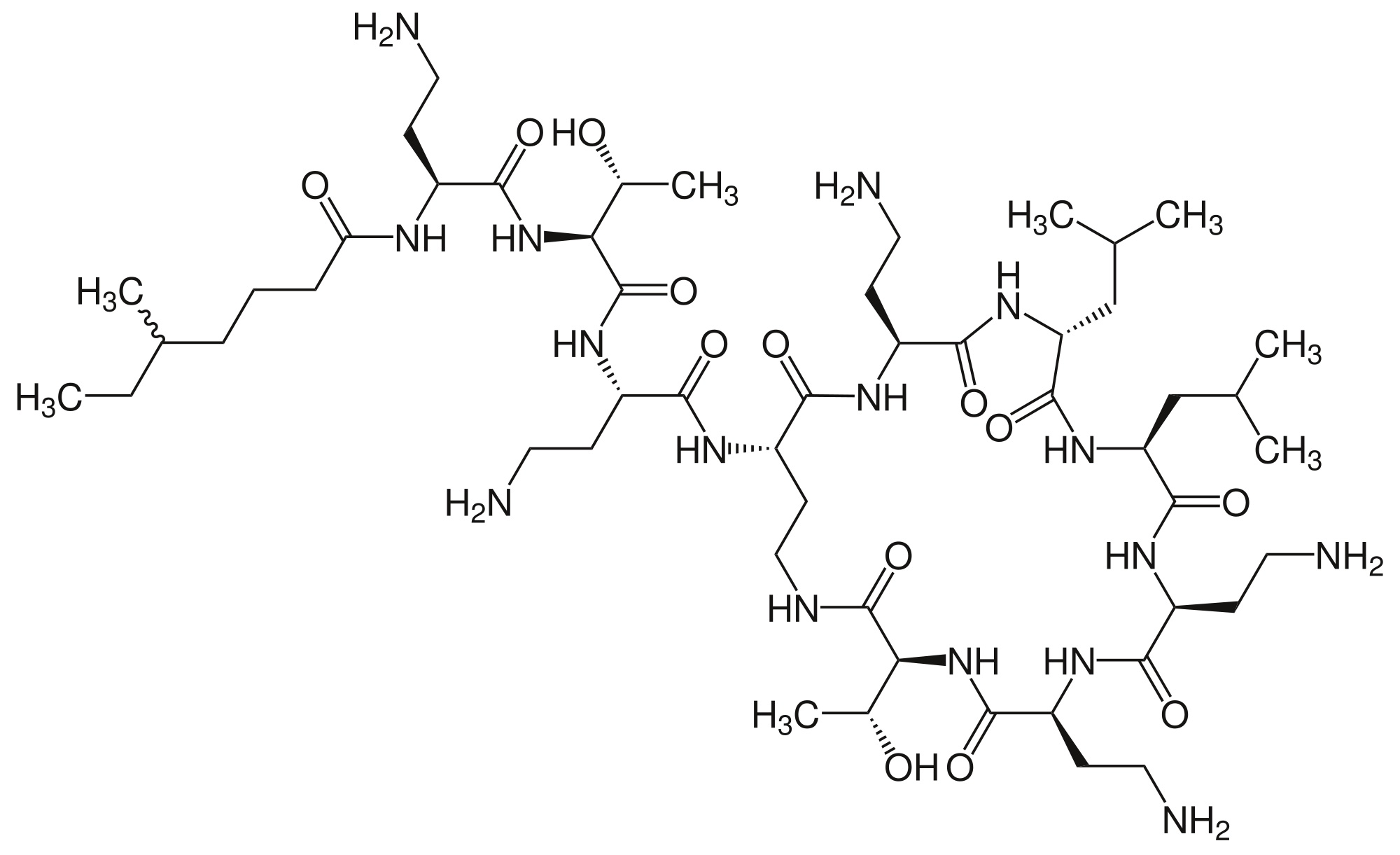
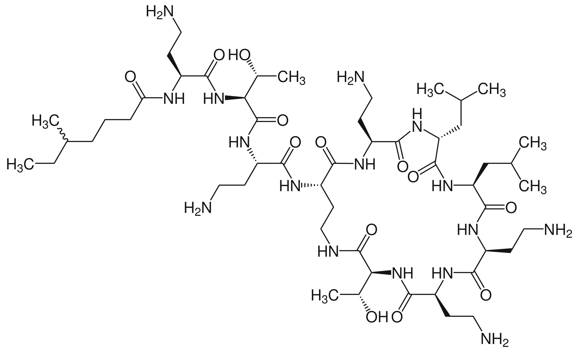
Antibiyotik   Colistin mesilate sodium  
Enjeksiyon
Aerosol
Çözeltilerin stabilitesi Karışımlardaki stabilitesi Stabiliteyi etkileyen faktörler Uyumluluk Uygulama yöntemi Kaynaklar pdf
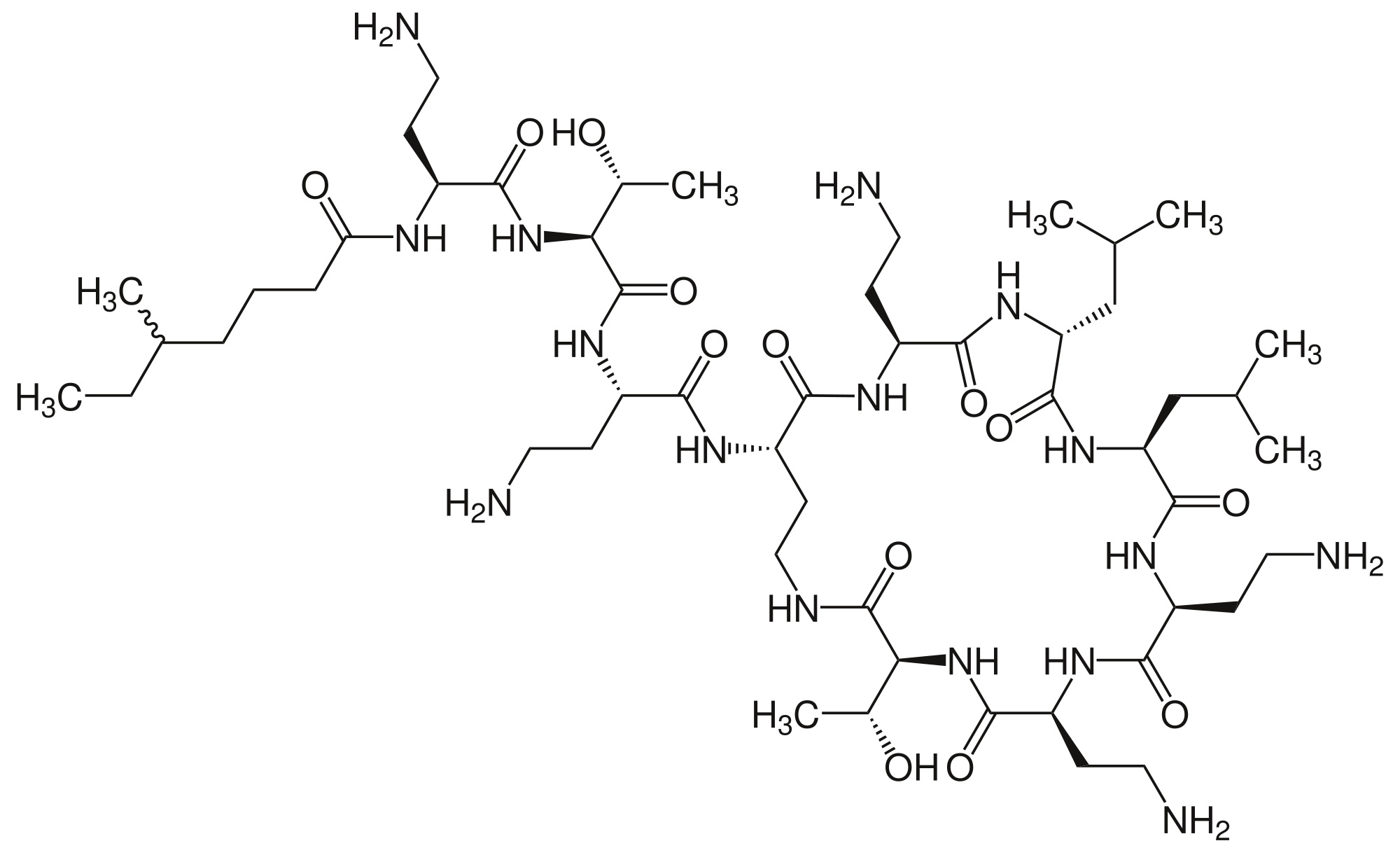
   Kimyasal yapı   

Ticari isim   Ticari isim     

Trade names are indicative and excipients composition can be different depending on the country and manufacturers

Alficetin Arjantin
Colimicina İtalya
Colimycin Danimarka, Norveç, Türkiye
Colimycine Fas, Fransa, Hollanda, Lüksemburg, Tunus
Colismet Peru
Colistimethate Amerika Birleşik Devletleri, Büyük Britanya, Fransa, Kanada
Colistin Almanya, Avusturya, Polonya, yeni Zelanda, Yunanistan
Colistina Arjantin, Portekiz, Şili
Colistineb Belçika
Colistyn Arjantin
Colixin Slovenya
Colomycin Amerika Birleşik Devletleri, Büyük Britanya, İrlanda, Kanada, Malezya
Dicupal Şili
Elistin Peru
Kolisod Türkiye
Nolisin
Promixin Almanya, Büyük Britanya, İrlanda, Norveç
Toliscrin Arjantin

Stabiliteyi etkileyen faktörler    Enjeksiyon    Stabiliteyi etkileyen faktörler : Colistin mesilate sodium        

  Mentions Légales