Seneste opdatering :
18/03/2026
Antibiotisk   Colistin mesilate sodium  
Injektion
Aerosol
Stabilitet i (vandige) opløsninger Stabilitet i blandinger Faktorer der påvirker stabiliteten Kompatibilitet Administrationsvej Bibliografi pdf
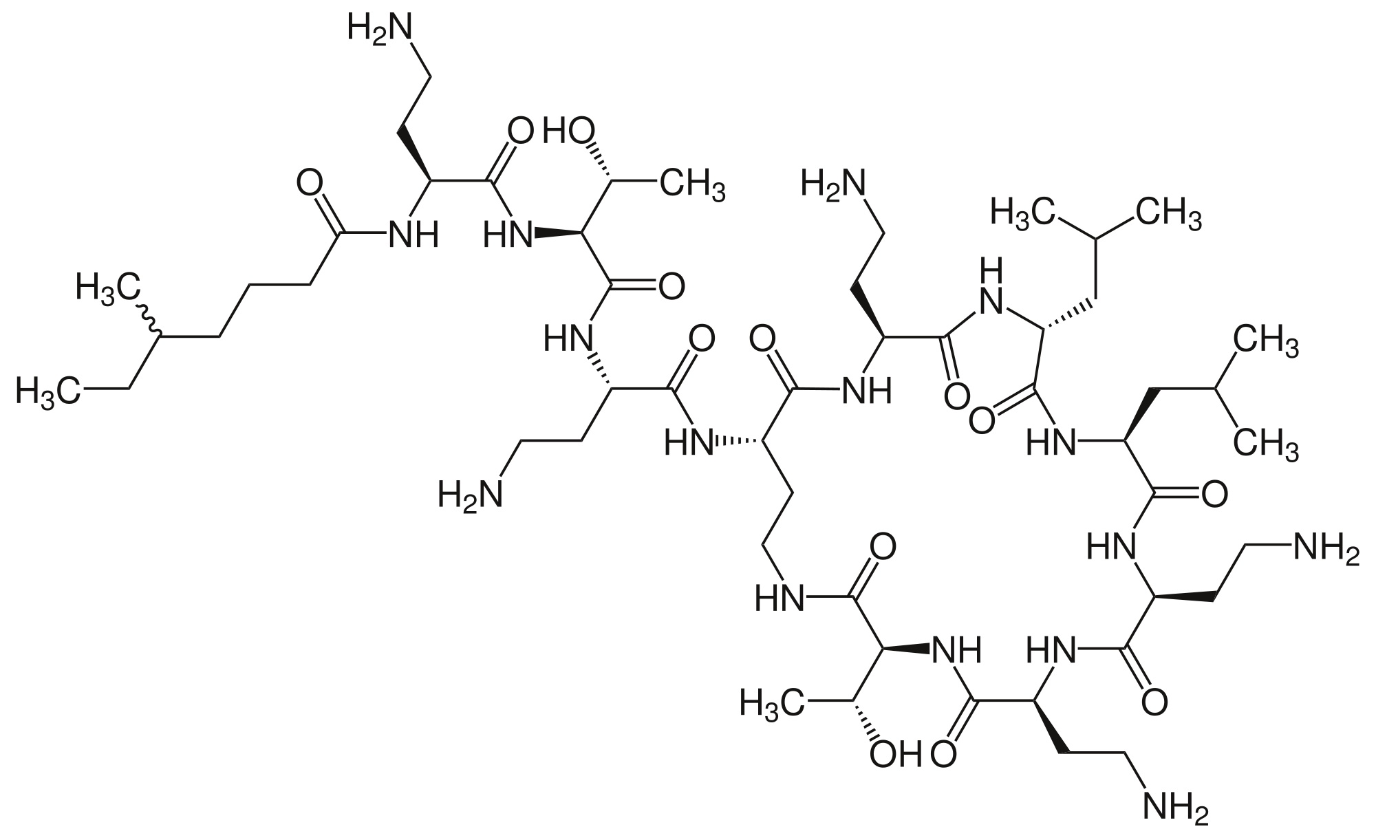
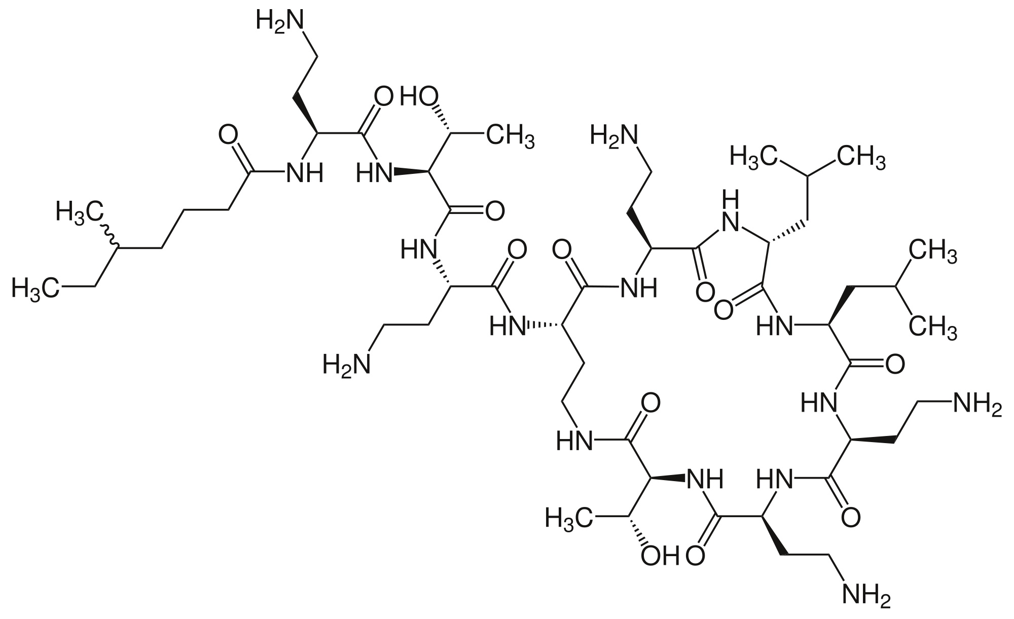
   Kemisk struktur  

Handelsnavn   Handelsnavn     

Handel navne er vejledende og hjælpestoffer sammensætning kan være forskellig afhængigt af landet og laboratorier

Alficetin Argentina
Colimicina Italien
Colimycin Danmark, Norge, Tyrkiet
Colimycine Frankrig, Holland, Luxemborg, Marokko, Tunesien
Colismet Marokko
Colistimethate Canada, Frankrig, Storbritanien, USA
Colistin Grækenland, New Zealand, Polen, Tyskland, Østrig
Colistina Argentina, Chile, Portugal
Colistineb Belgien
Colistyn Argentina
Colixin Slovenien
Colomycin Canada, Irland, Malaysia, Storbritanien, USA
Dicupal Chile
Elistin Marokko
Kolisod Tyrkiet
Nolisin
Promixin Irland, Norge, Storbritanien, Tyskland
Toliscrin Argentina

Faktorer der påvirker stabiliteten   Injektion   Faktorer der påvirker stabiliteten : Colistin mesilate sodium        

  Mentions Légales