Letztes “update” :
18/03/2026
Antibiotikum   Colistin mesilate sodium  
Injektion
Aerosol
Stabilität der Lösung Gemengestabilität Stabilitätbeeinflussende Faktoren Kompatibilitäten Applikationsart Literaturverzeichnis pdf
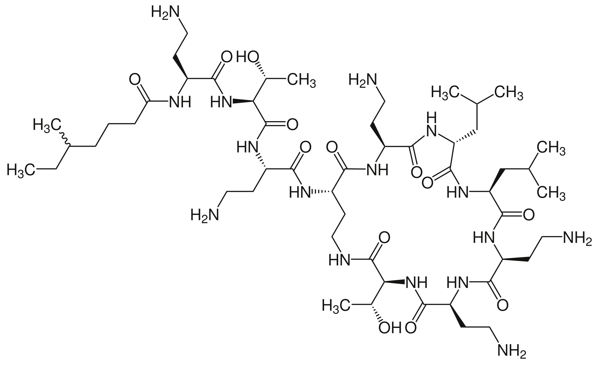
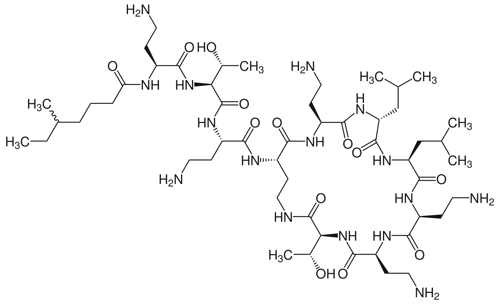
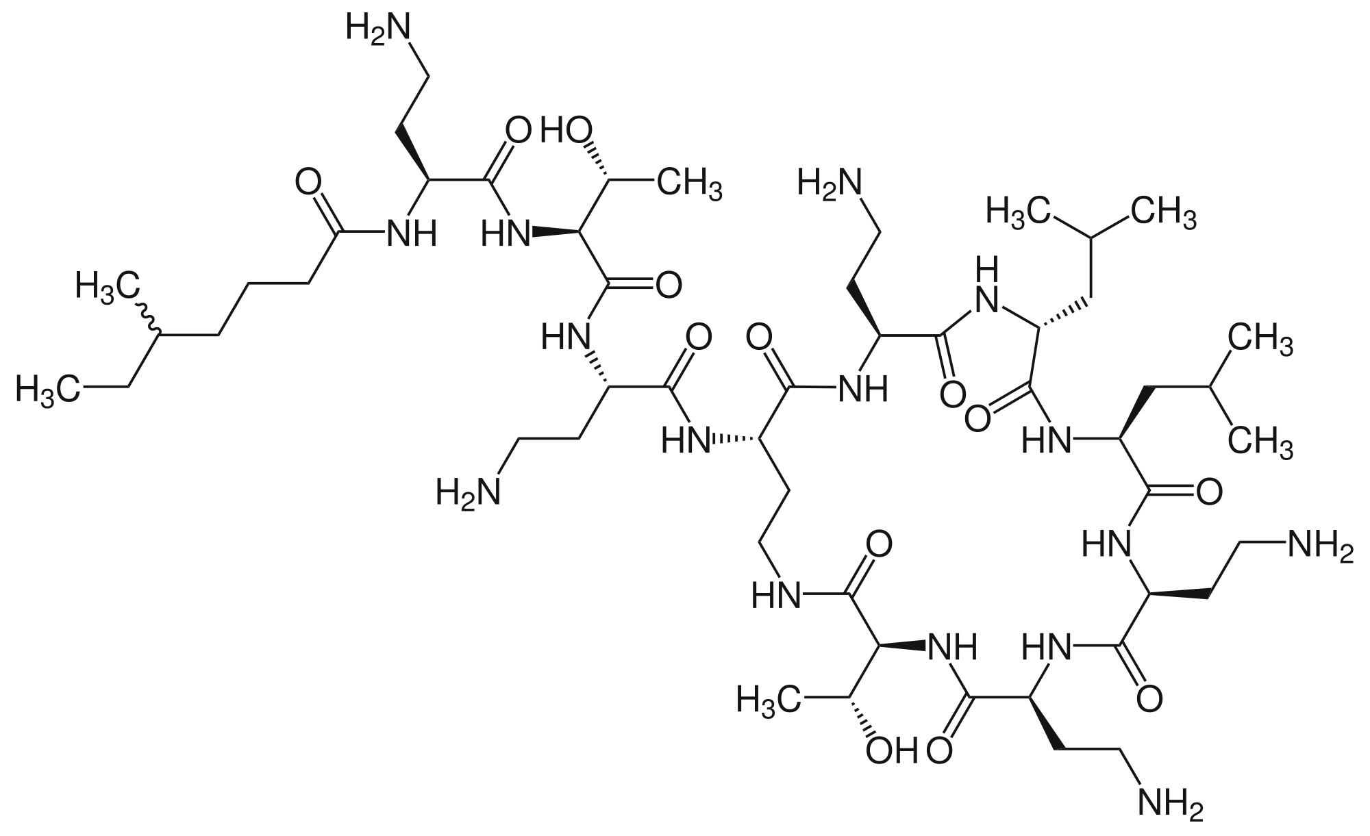
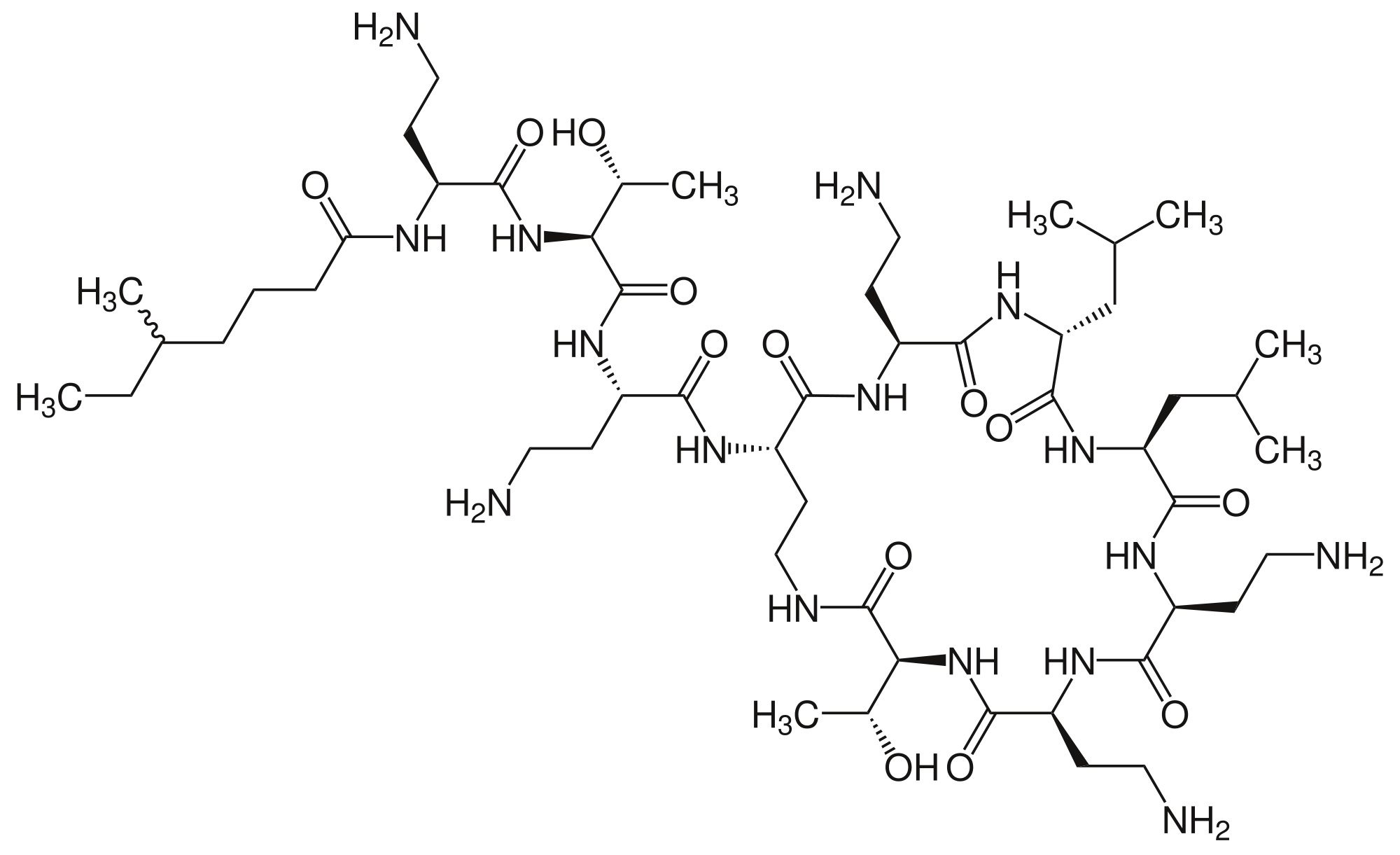
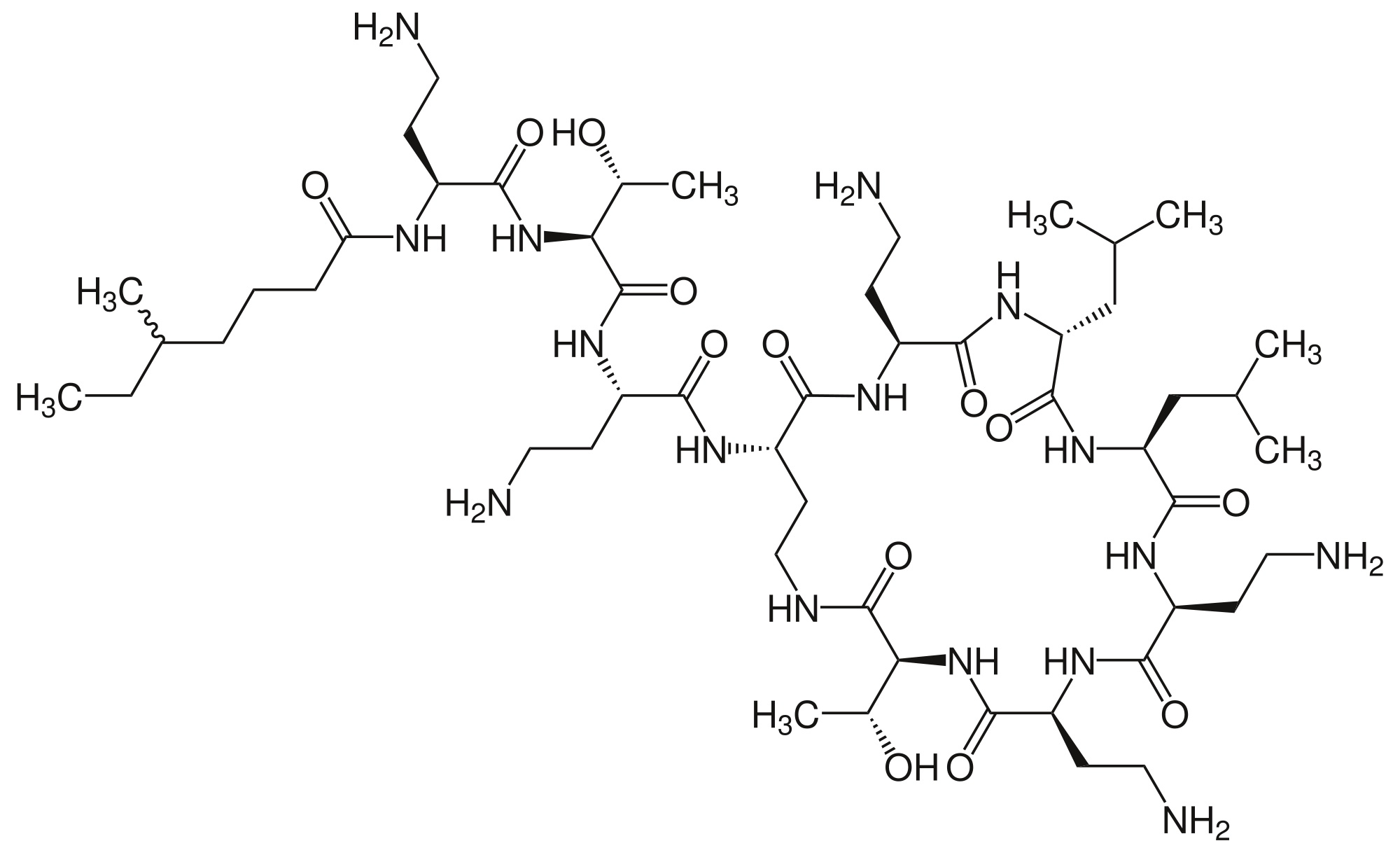
   Chemische Struktur  

Handelsmarke   Handelsmarke     

Handelsnamen sind als beispielhaft anzusehen. Sonstige Bestandteile können je nach Hersteller oder Land verschieden sein

Alficetin Argentinien
Colimicina Italien
Colimycin Dänemark, Norwegen, Türkei
Colimycine Frankreich, Luxemburg, Marokko, Niederlande, Tunesien
Colismet Peru
Colistimethate Frankreich, Großbritannien, Kanada, Vereinigte Staaten von Amerika
Colistin Deutschland, Griechenland, Neuseeland, Österreich, Polen
Colistina Argentinien, Chile, Portugal
Colistineb Belgien
Colistyn Argentinien
Colixin Slowenien
Colomycin Großbritannien, Irland, Kanada, Malaysia, Vereinigte Staaten von Amerika
Dicupal Chile
Elistin Peru
Kolisod Türkei
Nolisin
Promixin Deutschland, Großbritannien, Irland, Norwegen
Toliscrin Argentinien

Stabilitätbeeinflussende Faktoren   Injektion   Stabilitätbeeinflussende Faktoren : Colistin mesilate sodium        

  Mentions Légales