Dernière mise à jour :
05/12/2025
Antibiotique   Colistin mesilate sodium  
injectable
Aérosol
Stabilité des solutions Stabilité en mélange Facteur influençant la stabilité Compatibilités Voie d’administration Bibliographie pdf
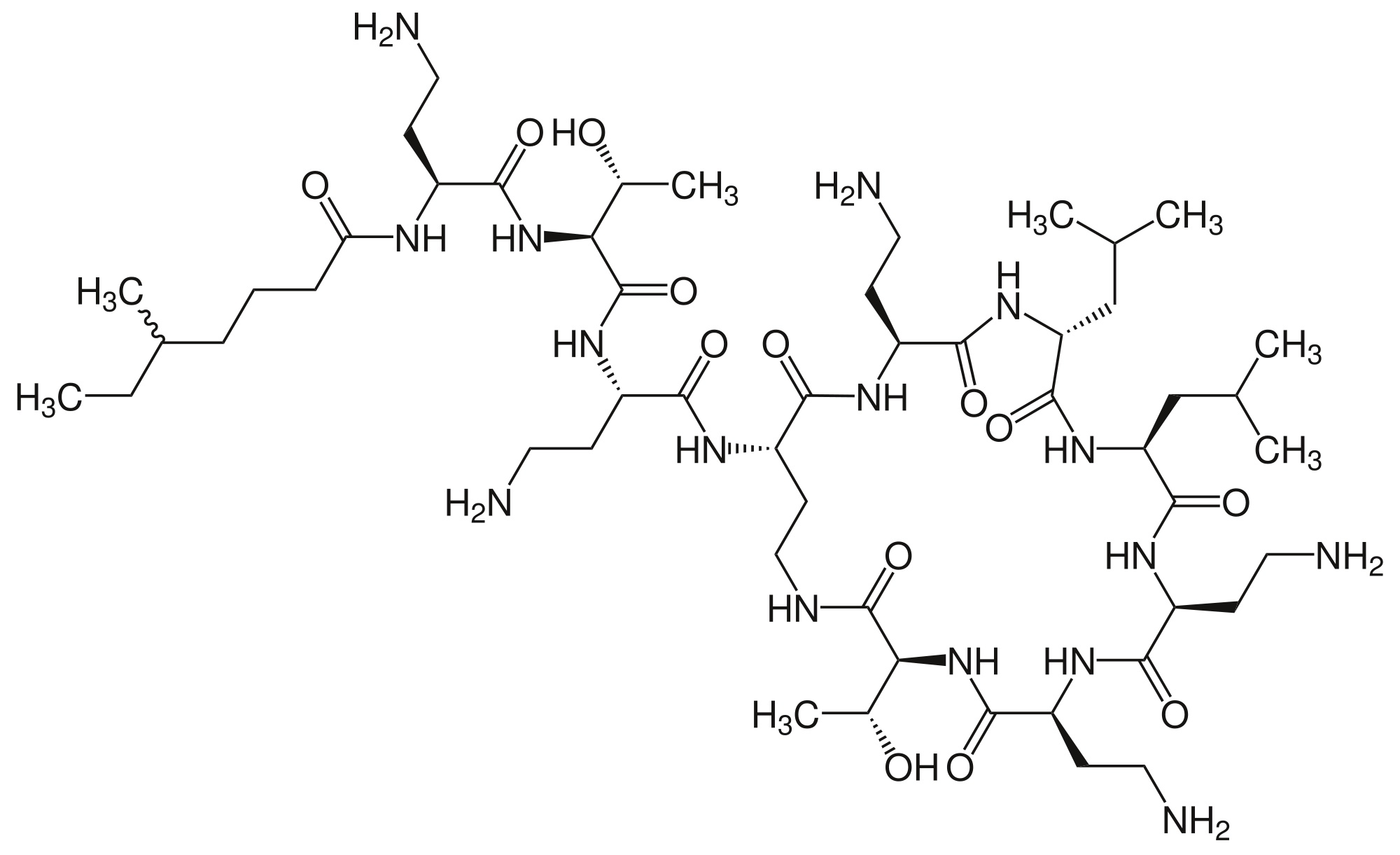
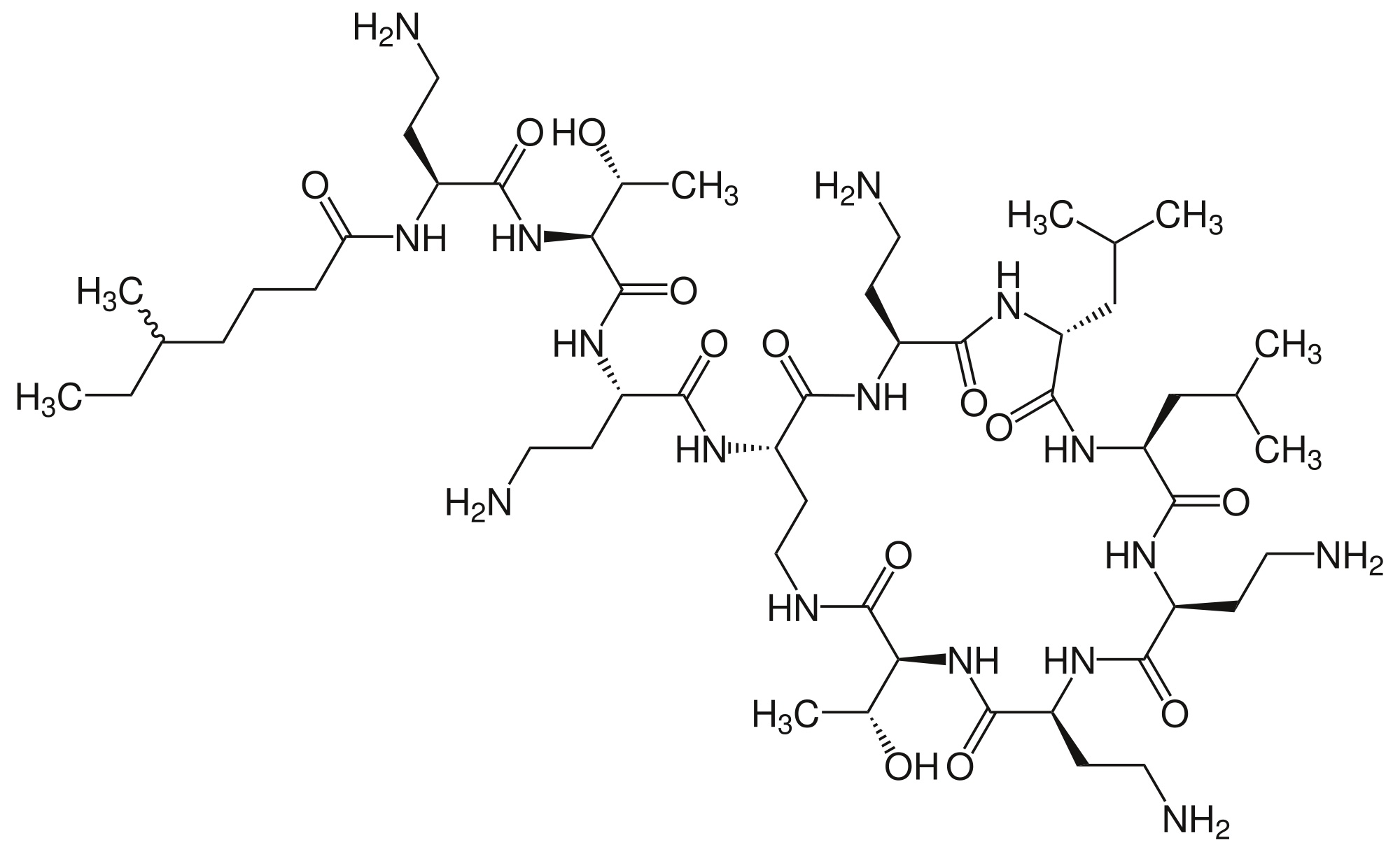
   Structure chimique  

Noms commerciaux   Noms commerciaux     

Les noms commerciaux sont donnés à titre indicatif et la composition en excipients peut être différente selon les pays et selon les laboratoires

Alficetin Argentine
Colimicina Italie
Colimycin Danemark, Norvège, Turquie
Colimycine France, Luxembourg, Maroc, Pays bas, Tunisie
Colismet Pérou
Colistimethate Canada, Etats Unis d’Amérique, France, Grande Bretagne
Colistin Allemagne, Autriche, Grèce, Nouvelle Zélande, Pologne
Colistina Argentine, Chili, Portugal
Colistineb Belgique
Colistyn Argentine
Colixin Slovénie
Colomycin Canada, Etats Unis d’Amérique, Grande Bretagne, Irlande, Malaisie
Dicupal Chili
Elistin Pérou
Kolisod Turquie
Nolisin
Promixin Allemagne, Grande Bretagne, Irlande, Norvège
Toliscrin Argentine

Facteur influençant la stabilité   injectable   Facteur influençant la stabilité : Colistin mesilate sodium        

  Mentions Légales