آخر تحديث :
18/03/2026
مضاد حيوي   Colistin mesilate sodium  
حقن
الأيروصولات
الاستقرار في حلول استقرار مخاليط العوامل التي تؤثر على الاستقرار التوافق طريقة التعاطي مراجع pdf
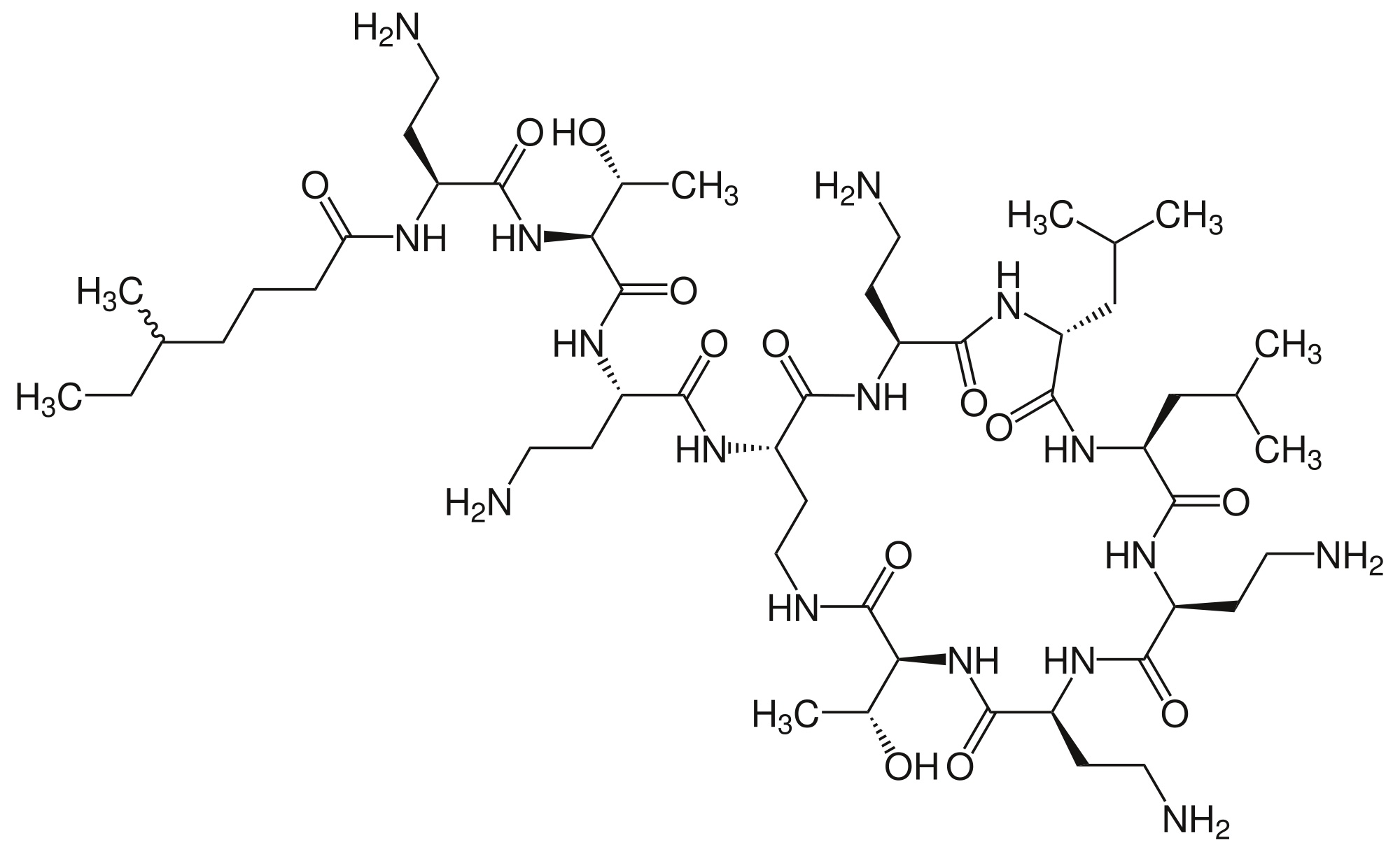
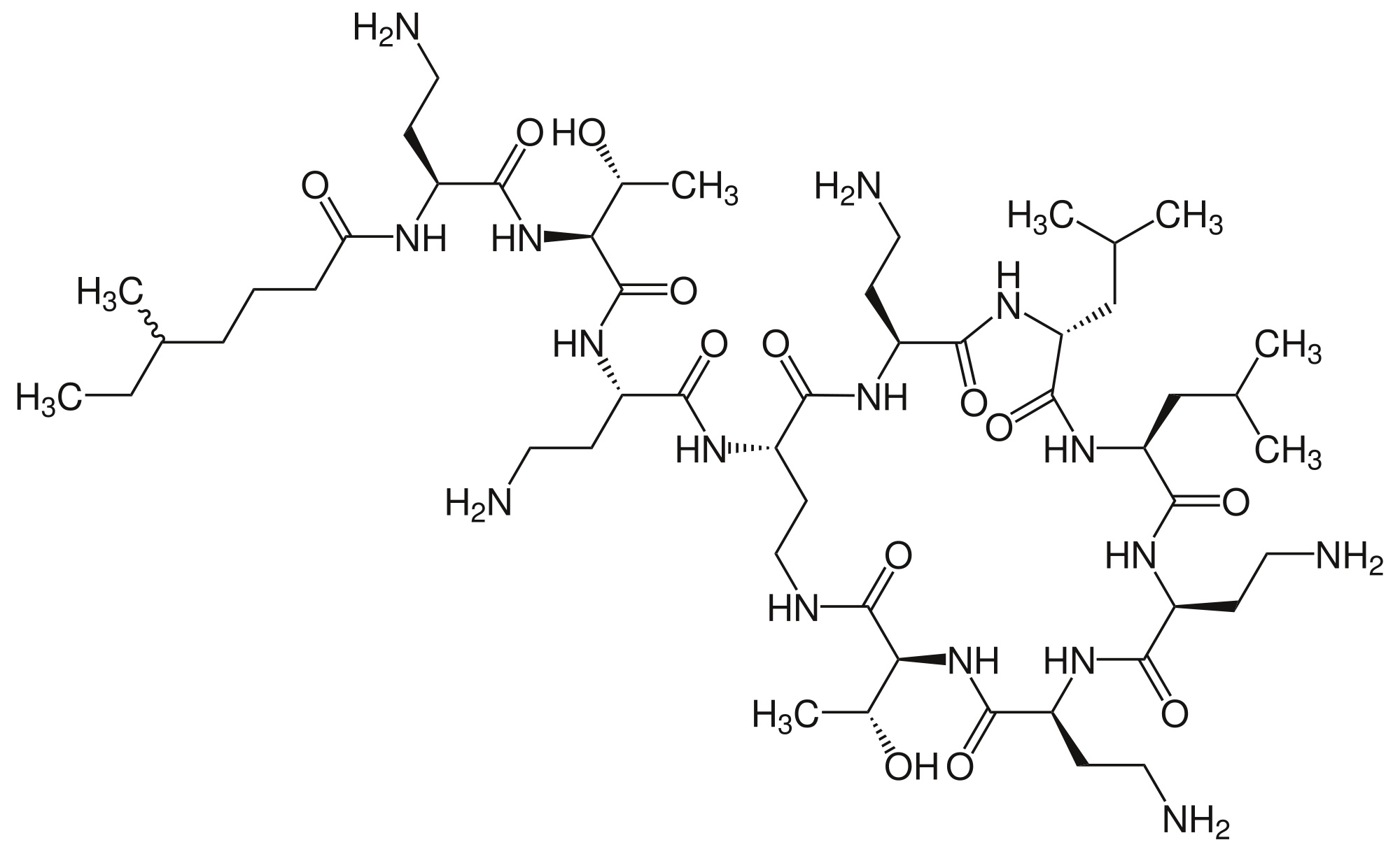
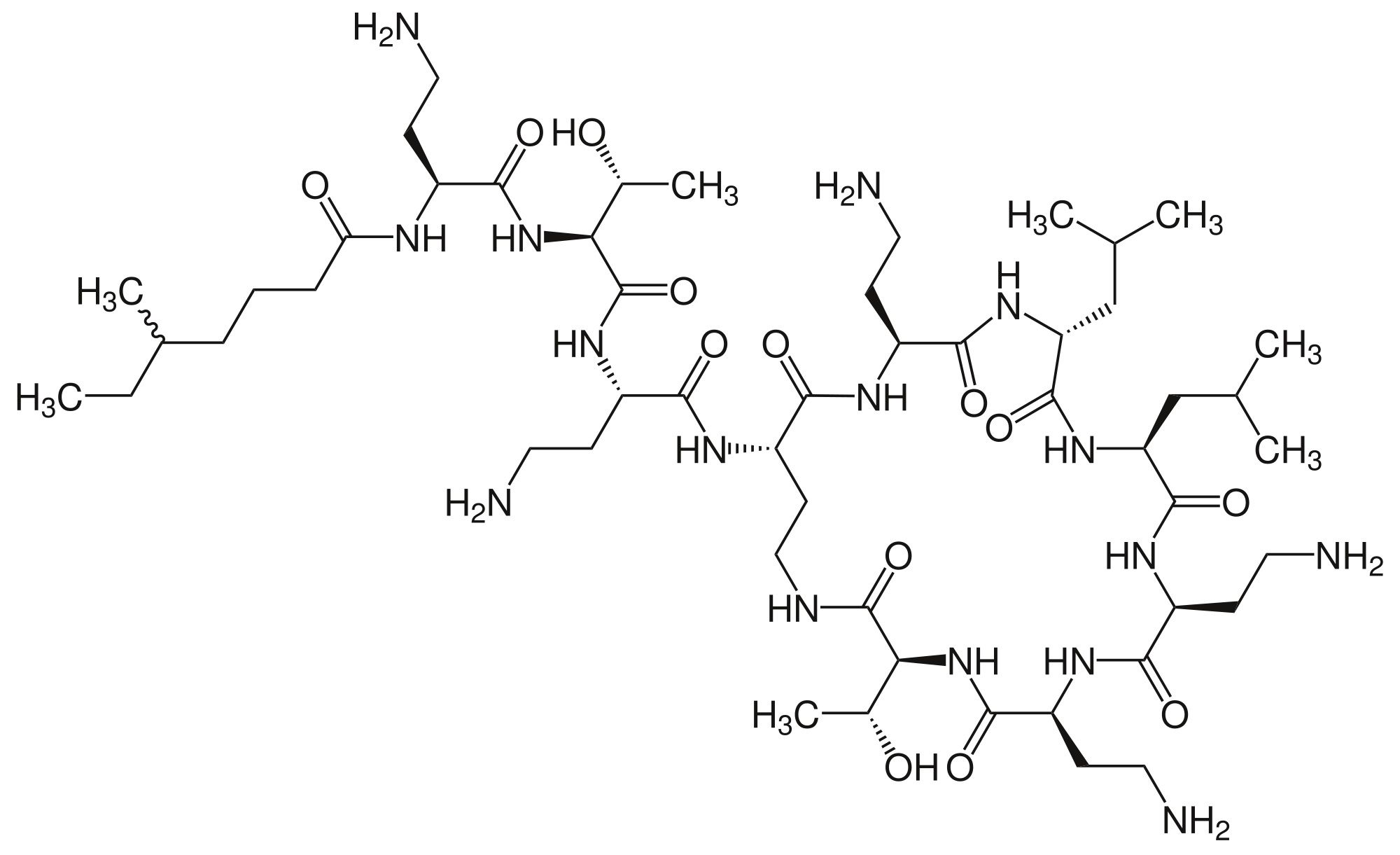
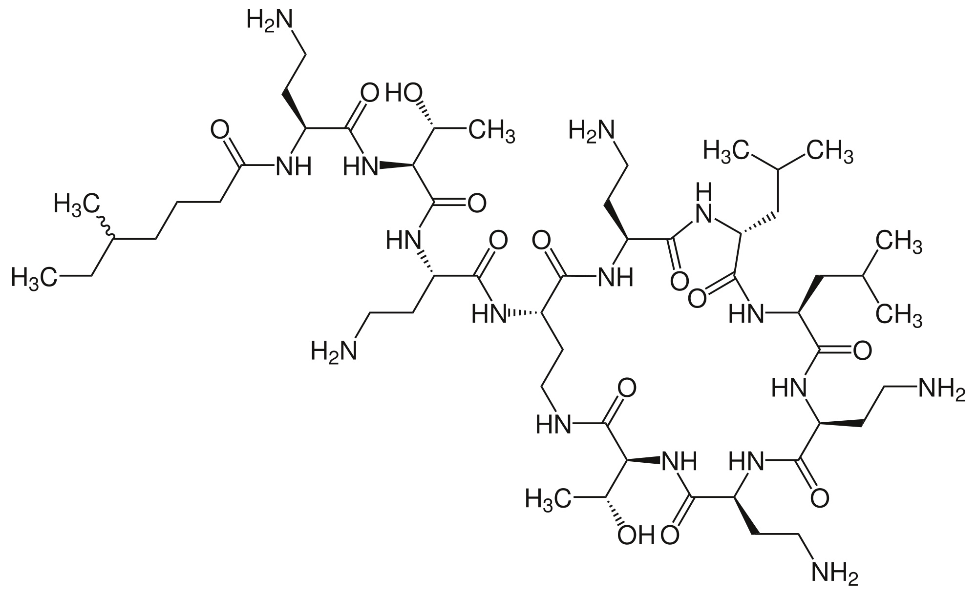
   التركيب الكيميائي  

حجز الاسم التجاري   حجز الاسم التجاري     

تحذير الأسماء التجاريه المختلفه قد تحتوي علي محتوي إضافات مختلفة حسب الدوله و المعمل

Alficetin الأرجنتين
Colimicina إيطاليا
Colimycin الدنمارك, النرويج, تركيا
Colimycine المغرب, تونس, فرنسا, لوكسمبورغ, هولندا
Colismet بيرو
Colistimethate الولايات المتحدة, بريطانيا العظمي, فرنسا, كندا
Colistin ألمانيا, النمسا, بولندا, زيلاندا الجديدة, يونان
Colistina الأرجنتين, البرتغال, تشيلي
Colistineb بلجيكا
Colistyn الأرجنتين
Colixin سلوفينيا
Colomycin الولايات المتحدة, ايرلندا, بريطانيا العظمي, كندا, ماليزيا
Dicupal تشيلي
Elistin بيرو
Kolisod تركيا
Nolisin
Promixin ألمانيا, النرويج, ايرلندا, بريطانيا العظمي
Toliscrin الأرجنتين

العوامل التي تؤثر على الاستقرار   حقن   العوامل التي تؤثر على الاستقرار : Colistin mesilate sodium        

  Mentions Légales