Последнее обновление :
18/03/2026
Антибиотик   Colistin mesilate sodium  
Инъекция
Аэрозоль
Стабильность растворов Стабильность смесей Факторы, которые влияют на стабильность Совместимость Способы введения Библиография pdf
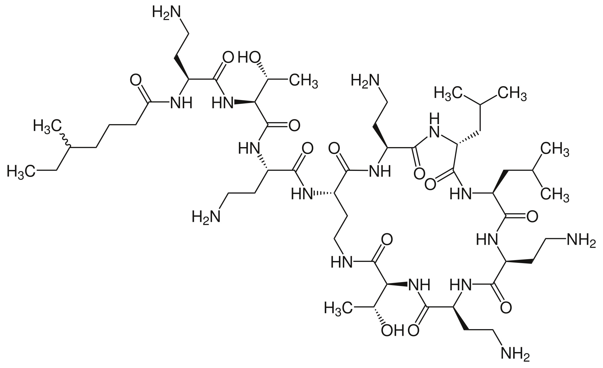
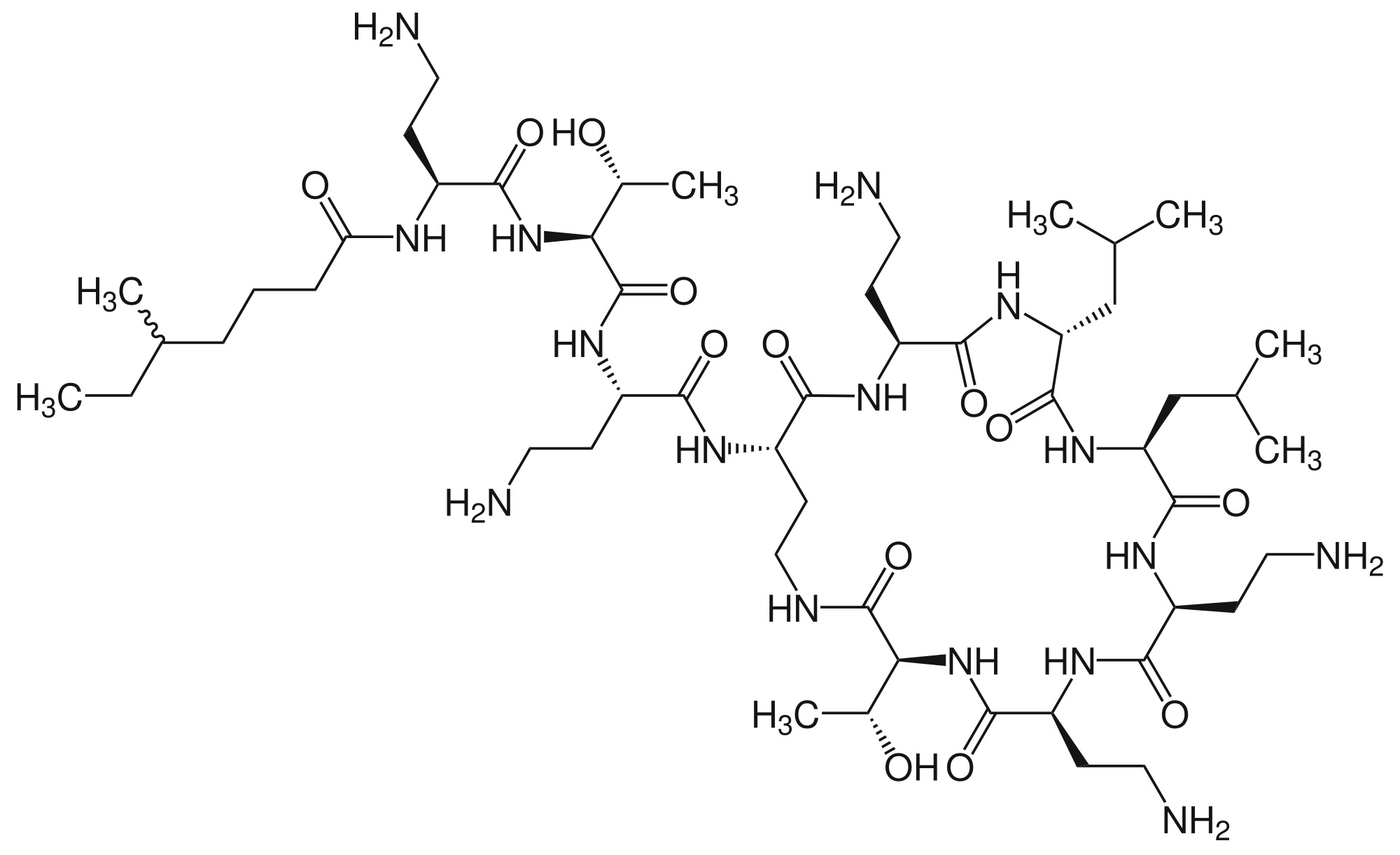
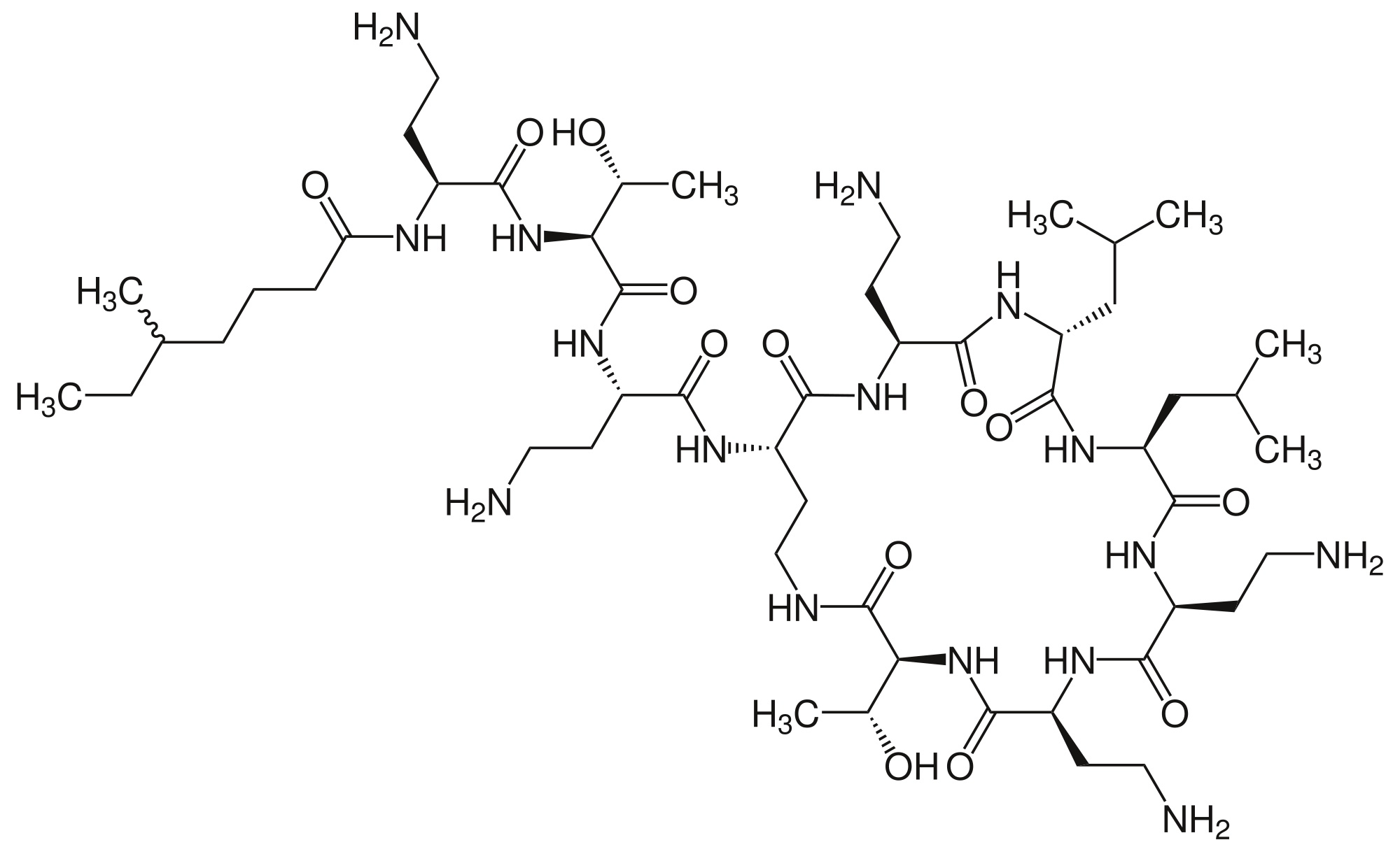
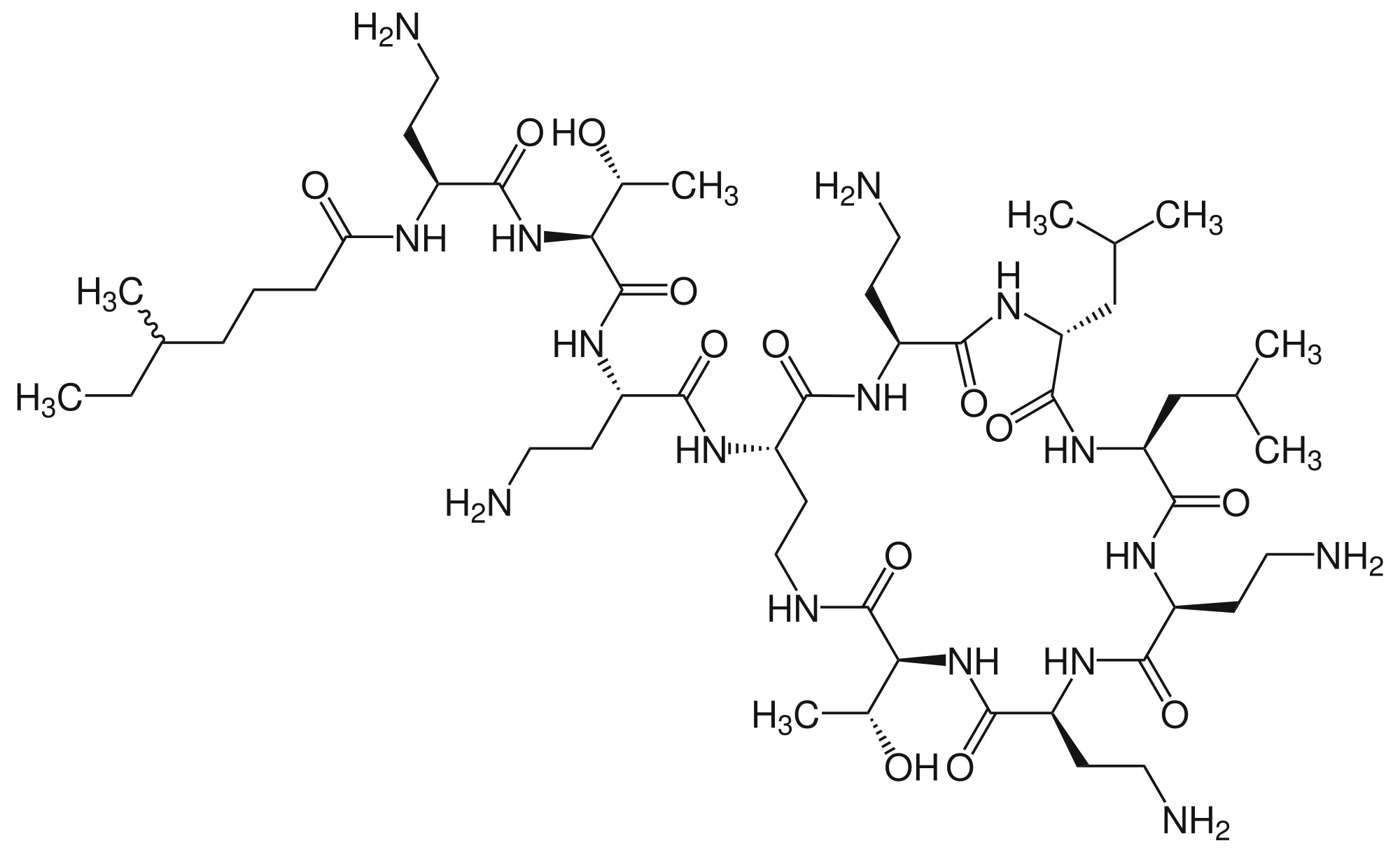
   Химическая структура  

Товарное название   Товарное название     

Trade names are indicative and excipients composition can be different depending on the country and manufacturers

Alficetin Аргентина
Colimicina Италия
Colimycin Дания, Норвегия, Турция
Colimycine Голландия, Люксембург, Марокко, Тунис, Франция
Colismet Перу
Colistimethate Великобритания, Канада, Соединённые Штаты Америки, Франция
Colistin Австрия, Германия, Греция, новая Зеландия, Польша
Colistina Аргентина, Португалия, чили
Colistineb Бельгия
Colistyn Аргентина
Colixin Словения
Colomycin Великобритания, Ирландия, Канада, Малайзия, Соединённые Штаты Америки
Dicupal чили
Elistin Перу
Kolisod Турция
Nolisin
Promixin Великобритания, Германия, Ирландия, Норвегия
Toliscrin Аргентина

Факторы, которые влияют на стабильность   Инъекция   Факторы, которые влияют на стабильность : Colistin mesilate sodium        

  Mentions Légales