Pēdējā atjaunošana :
18/03/2026
Antibiotika   Colistin mesilate sodium  
Injekcija
Aerosols
Šķīduma stabilitāte Maisījuma stabilitāte Stabilitāti ietekmējoši faktori Saderība Levadīšanas veids Literatūras saraksts pdf
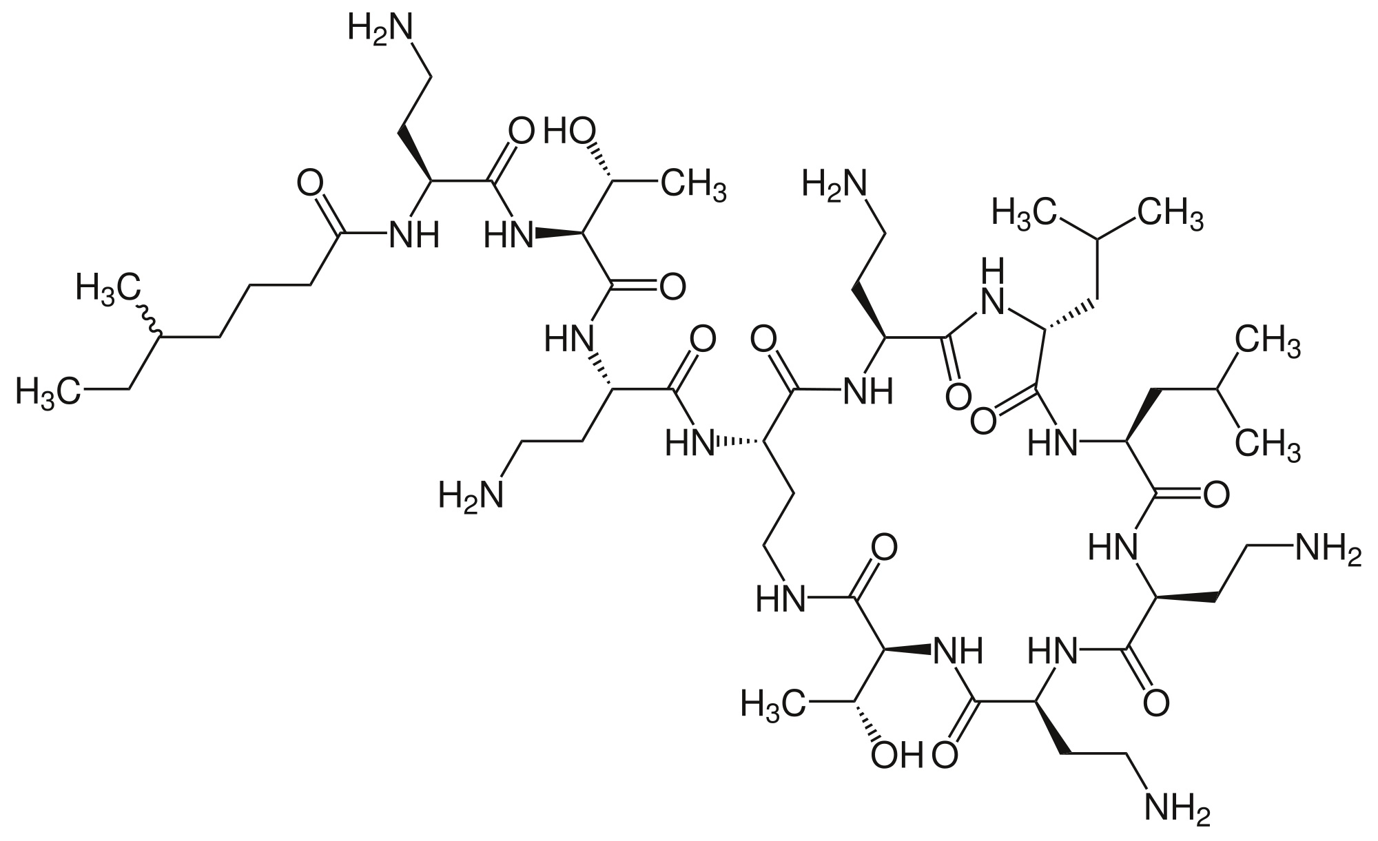
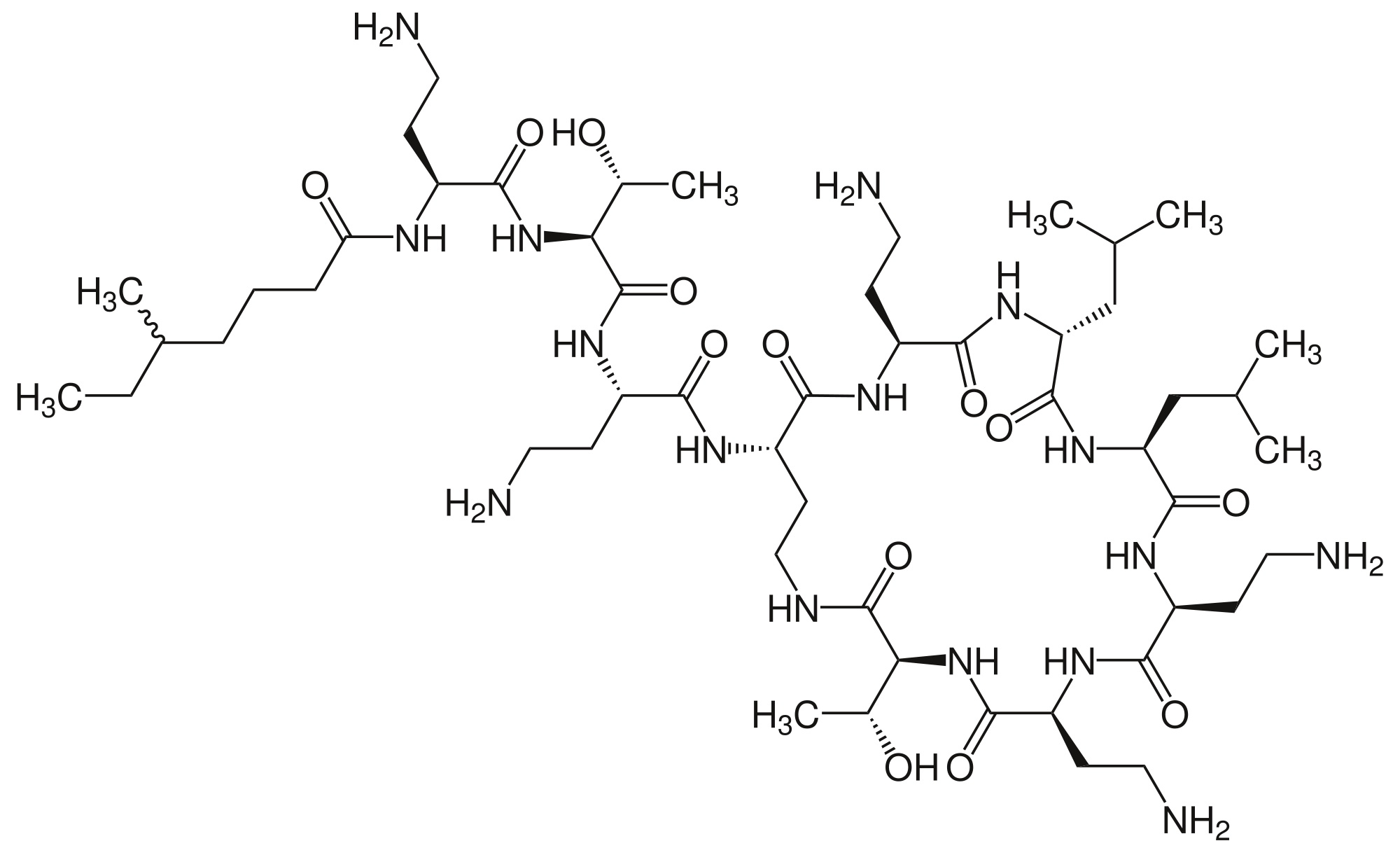
   Ķīmiskā uzbūve   

Oriģinālais nosaukums   Oriģinālais nosaukums     

Tirdzniecības nosaukumi ir apzīmējoši un palīgvielas var atšķirties dažādām valstīm un laboratorijām

Alficetin Argentīna
Colimicina Itālija
Colimycin Dānija, Norvēģija, Turcija
Colimycine Francija, Holande, Luksemburga, Maroka, Tunisija
Colismet Peru
Colistimethate Amerikas Savienotās Valstis, Francija, Kanāda, Lielbritānija
Colistin Austrija, Grieķija, Jaunzēlande, Polija, Vācija
Colistina Argentīna, Čīle, Portugāle
Colistineb Beļģija
Colistyn Argentīna
Colixin Slovēnija
Colomycin Amerikas Savienotās Valstis, Īrija, Kanāda, Lielbritānija, Malaizija
Dicupal Čīle
Elistin Peru
Kolisod Turcija
Nolisin
Promixin Īrija, Lielbritānija, Norvēģija, Vācija
Toliscrin Argentīna

Stabilitāti ietekmējoši faktori   Injekcija   Stabilitāti ietekmējoši faktori : Colistin mesilate sodium        

  Mentions Légales